CR in Nonhuman Primates: A Muddle for Monkeys, Men, and Mimetics
Abstract
Calorie restriction (CR) is the most well-characterized and arguably the most robust intervention into the degenerative aging process in experimental animals. Biomedical gerontologists have therefore proposed “CR mimetics” — pharmacological modulators of the signaling pathways underlying the age-retarding effects of CR — as a route to the development of interventions against the diseases and disabilities of aging. The viability of this strategy necessarily depends upon the human translatability of CR. Lifespan studies in human CR being impracticable, studies in longevous nonhuman primates were initiated at the Wisconsin National Primate Research Center (WNPRC) and at the National Institute on Aging (NIA) to give strong surrogate evidence on the issue. Disconcertingly, the two studies have come to opposing outcomes, with CR extending life relative to controls at WNPRC and not doing so at NIA. This article explores several possible interpretations of the discrepancy, focusing on two with the greatest explanatory power. Both interpretations begin from the premise that the WNPRC control animals were overfed, and that the “CR” animals in that study — as well as the control animals at NIA — were healthier by comparison for the trivial reason that they were not suffering the metabolic consequences of obesity. In the “diminishing returns” hypothesis, there was no increase in lifespan in NIA CR animals relative to nonobese controls because there is nothing to be gained from reducing food intake beyond what is needed to remain reasonably lean; thus, CR is not translatable to human or nonhuman primates, and CR mimetics cannot even in principle be created. In the “dose-response” hypothesis, the NIA’s null result is interpreted as resulting from an inadequate and progressively declining degree of CR relative to the healthy baseline of the ad libitum group; this interpretation is supported with data on food motivation, body composition, and the metabolic responses to CR, and with reference to the effects of CR on the latter parameters in laboratory rodents and in humans. While the “dose-response” hypothesis holds out hope for the human translatability of CR (and thus, the theoretical possibility of true CR mimetics), there remain inherent and likely insurmountable barriers to the development of CR mimetics as effective interventions for human use, and thus researchers are urged to redirect their efforts toward rejuvenation biotechnology for the rapid and maximally effective development of new therapies to prevent and cure the diseases and disabilities of aging.
The first, the most well-studied, and arguably the most robust of interventions into the biological aging process in experimental animals today remains Calorie restriction (CR): the reduction in dietary energy intake, without compromise of essential nutrients.(1,2) CR has been shown to decelerate multiple degenerative aging processes in nearly every species and strain of organisms in which it has been tested, preserving youthful functionality and extending life in species ranging from yeasts, through small multicellular invertebrates, and most extensively to laboratory rodents — and although inconclusive, recent evidence also supports its effectiveness in dogs,((3) — and see (95) for additional analysis), possibly cattle,(236) and apparently (in a Czech study recalled but not available for citation(237,238)) in rabbits. The human translatability of these effects has long been recognized as a key question in biogerontology — not in anticipation that many humans would take up CR, but because if the “anti-aging” effects of CR observed in other species were conserved in humans, then identification of the core mechanism(s) responsible for these effects would present targets for the development of what Lane, Ingram, Roth of the National Institute on Aging (NIA) dubbed “CR mimetics:”(4) small molecules that would induce the “anti-aging” effects of CR, while neither requiring nor resulting in any reduction of energy intake.
The experiments required to definitively establish the human translatability of CR being extremely impractical, biogerontologists at the NIA and the Wisconsin National Primate Research Center (WNPRC) at the University of Wisconsin-Madison launched parallel experiments a quarter-century ago, to test the effects of CR in nonhuman primates. Data from these studies on anthropometrics, mental and physical function, disease risk factors, and morbidity have been published at frequent intervals during the intervening years, and in 2009 the promise of this research reached a new milestone, with a widely-publicized report from the Wisconsin colony.(5) In their cohort, the WNPRC researchers reported that CR reduced age-related morbidity, as well as age-related (vs. accidental and other non-age-related) mortality, relative to their ad libitum (AL)-fed animals (Figure 1 below). This included a 50% reduction each in cardiovascular disease and neoplasia, the complete prevention of diabetes (no CR animals, vs. 5/38 AL monkeys suffering from diabetes and 11 with prediabetes), superior maintenance of muscle mass with age, and a significant deceleration of age-related loss of gray matter (Figure 2 below). “At the time point reported, 50% of control fed animals survived as compared with 80% of the CR animals.”(5)
Figure 1. CR reduces age-related mortality in the University of Washington nonhuman primate cohort. Reproduced from (5), with permission.
Figure 2. Calorie restriction retards gray matter atrophy in WNPRC nonhuman primates. Image © Sterling Johnson, Ph.D., Professor of Medicine, Wisconsin Alzheimer’s Disease Research Center; with permission.
These results generated considerable media and biogerontological excitement, although the ambiguous longevity results were recognized as an important caveat. So it comes as a great surprise — and, to many, a significant disappointment — when in the summer of 2012, the NIA study reported quite discrepant results.
As was very widely reported in the popular and nonspecialist scientific press and editorials,
a CR regimen implemented in young and older age rhesus monkeys at the National Institute on Aging (NIA) has not improved survival outcomes. … Over the years, both NIA and WNPRC have extensively documented beneficial health effects of CR in these two apparently parallel studies. The implications of the WNPRC findings were important as they extended CR findings beyond the laboratory rodent and to a long-lived primate. Our study suggests a separation between health effects, morbidity and mortality, and similar to what has been shown in rodents, study design, husbandry and diet composition may strongly affect the life-prolonging effect of CR in a long-lived nonhuman primate.(6)
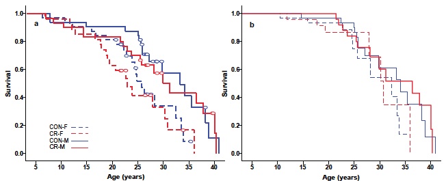
Figure 3. Kaplan‐Meier survival curves for (a) all-cause and (b) age-related mortality for pooled (young- and old-onset) monkeys in the NIA study. Reproduced from ((6), Supplementary Information), with permission.
Resolving the discrepancy between these two studies is a critical question for the future of research in the biology of aging, not only as a matter of great scientific importance, but because so much of the focus of biomedical gerontology has been and remains the hunt for CR mimetics — drugs whose potential to delay and decelerate the degenerative aging process in our rapidly-aging populations is predicated on the translatability of the mechanisms of CR. The nonhuman primate CR studies have been rightly viewed as amongst the most important sources of evidence on this question, and clashing results necessarily leave the way forward for the field in confusion. In this blog post, we will probe many of the possible explanations for the discordant results that have been proffered in the new report(6) and in outside commentary and discussion.
Cohort-Specific Factors
Genetic Variation?
The WNPRC primates were entirely of Indian origin, whereas the NIA’s animals were taken from both Indian and Chinese sources; this led the authors of the NIA report to speculate that the discrepancy between the two studies may have been due to genotypic divergence in the response to CR.(6) This suggestion is lent plausibility by the substantial genetic divergence (both nuclear and mitochondrial) that is known to exist in rhesus monkeys from these two origins.(37)
If genotypic differences between Indian- and Chinese-derived animals underlay the lack of an effect on lifespan in the NIA study, one would still predict that the overall null effect on lifespan in the NIA study would be the product of two contrasting subpopulation effects: a strong CR effect in their Indian-sourced monkeys, similar to that observed at WNPRC,(5) counterbalanced by a profoundly negative effect in their Chinese-sourced animals — or, at minimum, a null effect sufficient to drown out the signal of the positive effect in Indian-sourced animals. Subgroup analysis is not possible at this time, as the authors pooled animals from all sources together for survival analysis, and have not supplied separate data for animals of the two sources; moreover, while the majority of animals who entered the study as young adults were of Chinese origin (particularly amongst females),(62, 218) such animals were pooled together with animals entering the study as juveniles and born in NIA facilities for purposes of survival analysis.(6)
In fact, there is some evidence of poor adaptation to the CR diet in the Chinese-sourced animals at NIA, at least behaviorally. In a study of the effects of CR on activity measures, the Chinese-sourced monkeys were more vulnerable to exhibiting stereotypies when placed on CR than were the Indian-sourced animals.(38) Although the comparison is confounded by additional differences in study design between the NIA and WNPRC studies, it is consistent with a differential effect in this subgroup of monkeys that a similar study in WNPRC’s Indian-origin primate colony(39) found far fewer CR-associated differences in activity level and pattern than were reported in the young-adult Chinese primates in this study.(38)
However, it is not clear whether this apparent difference in behavior is associated with differential response to CR, or to differential vulnerability to disease or mortality — nor even whether the observed or postulated differences have a genetic basis. The NIA study report cites several previous studies as precedents for intraspecies genetic variability in the response to CR. The most compelling of these(40) reported a very surprisingly high level of such variability amongst 41 recombinant inbred mouse strains, with CR shortening lifespan in more strains than it lengthened it. Analysis of the relationship between substrain response to CR and other genetically-linked traits found that successful adaptation to CR was associated with greater ability to maintain fat mass under the diet,(41) which is consistent with much a more modest effect of adipose maintenance observed in previous studies in individual animals within CR cohorts.(43-45) However, the generalizability of the high level and opposing directions of response to CR in this study(40) is rendered unlikely by the inclusion of the DBA/2 strain as one of 8 inbred mouse strains contributing to the recombinant crosses used in this study. DBA/2 is an extremely fragile, short-lived, and disease-prone strain, also sensitive to alcohol and morphine, which seems from other research to be uniquely inflexible in metabolically adapting to CR,(50,219-222; and cf 223-226), which was seeded across the spectrum of these strains, rendering parlous any extrapolation of the results of this study to the distribution of genetically-based responsiveness to CR in genetically-heterogeneous populations such as humans, or even Indian- vs. Chinese-sourced rhesus macaques.
In fact, a second report cited by the authors of the NIA report as an additional example of the nonresponsiveness of some genotypes of rodents to CR(48) was itself performed in DBA/2 mice, and was additionally methodologically flawed in several respects in its evaluation of the effects of CR late in life: in violation of protocols shown to be essential to imposing CR in adult mice,(53) they switched animals from AL to 40% CR overnight, instead of stepwise to allow for gradual adaptation; and they failed to adjust the diet to retain the amount of protein and micronutrients in the original diet, thus leading to malnutrition when 40% less of the diet was consumed. The study was also not a complete lifespan study, but a short-term survival analysis during the period when animals would be most vulnerable to these two protocol malpractices. (And see further the subsequent landmark publication of (49) as regards the time-course required for animals to complete the CR-induced metabolic and health-phenotypic switch.)
Other reputed examples of such a phenomenon are also unconvincing. One case also widely cited by others is an investigation reportedly showing the lack of effect of CR on lifespan in a line of genetically heterogeneous wild-caught mice.(46) However, the present author has never found this characterization of the results of that study(46) satisfactory. The longest-lived 8.1% of the animals in the study were all from the CR group, consistent with an effect on maximum lifespan — the sine qua non of retarded aging in the laboratory. Moreover, a Gompertz analysis of the survival characteristics of the population indicated a reduction in the age-related acceleration of mortality rate, again consistent with the retardation of aging. In terms of age-related disease, CR animals in this study enjoyed an approximate fivefold reduction in neoplasia at autopsy as compared to the AL cohort; and in terms of metabolic evidence of adaptation to CR, the CR animals exhibited multiple endocrinological adaptations consistent with CR-induced metabolic reprogramming.(46) Rather, the lack of effect on mean longevity in the CR animals in this study was due to an excess of mortality shortly after imposition of CR, which might be due to reasons unrelated to CR or at any rate to aging, and indeed a comparison of both the shape of the survival curve and the survivorship data in both CR and AL cohorts(46) to the equivalent data in an earlier study involving the same line of mice(47) are suggestive of some adverse environmental effect in the entire study colony. Indeed, it was already known that these wild-derived mice adapted poorly to laboratory conditions, exhibiting poor breeding and small litters, and in this very report the starting cohort sizes were reduced by the accidental death or escape of ~15% of the mice, nearly all of which occurred in the CR cohort.(46) Certainly, this study should not be taken as strong evidence of a strong genetic variability of genetic capacity to adopt the “anti-aging” CR metabolic state (nor even, more specifically, that CR is not effective in genuinely wild mice).
Other studies purporting to demonstrate a lack of responsiveness to CR in some rodent genotypes have been critiqued elsewhere.(51)
As can be seen, then, existing rodent data do not provide strong evidence for a wide genetic variability in responsiveness to the anti-aging effects of CR. Alternatively, genetics might have led to an appearance of the lack of an effect of CR in the NIA primate study because of genetic variation in vulnerability to specific causes of death, or to the intrinsic rate of aging. If one subgroup of animals were naturally more longevous than the other subgroup(s), and more of these longer-lived animals were assigned to the AL than the CR diet, then an effect of diet on aging could be masked by the counterbalancing effects of genetics on the determinants of longevity. Again, however, this hypothesis is entirely speculative, as we are not provided with detailed information on the distribution of animals to diet by origin, and as the Chinese-sourced animals are concentrated into one subgroup of the younger-onset animals.
Pre-Existing Disease?
But even if there were direct evidence of a failure of adaptation to CR amongst the NIA’s Chinese-sourced animals — or, indeed, of differential subgroup mortality for other reasons — that would not in itself demonstrate that the phenomenon had a specifically genetic basis. The NIA investigators obtained the Chinese-sourced animals when they were already several years old, some research colony in mainland China itself by way of the Texas Primate Center, but others were animals previously used for military research at the US Army Medical Research Institute of Chemical Defense at Aberdeen Proving Ground in Maryland, and came with little information regarding ultimate provenance and without information about prior rearing conditions.(62, 218) The NIA study report authors themselves caution that “No behavioral data were available on these … monkeys until they were incorporated into the NIA study … [and] no data are available on the type of housing or structure of social systems, if any, these monkeys experienced from birth through their fourth year, a time coinciding to marked developmental changes measured socially and physically. Thus, the stereotypies observed in these … monkeys were possibly well developed in individuals prior to shipment to the United States”(38). Any discordant effect of CR in the Chinese-sourced animals might therefore not relate to genetic variability at all, or (perhaps) even to CR itself, but to differences in prior rearing, socialization, or other conditions in these subgroups. Indeed, one almost certain such cause contributed substantially to mortality in the cohort of younger-onset female primates, as is discussed in the next section.
In possible contrast to the subgroup of monkeys in whom CR was initiated late in life (16-23 y), there was no suggestion that overall life expectancy was increased in the subgroup of primates that was started on CR in the NIA study as juveniles, adolescents, or adults. But 20 of the 86 animals in this group were Chinese-sourced animals from the Aberdeen Proving Ground. Moreover, these 20 animals constituted the great majority of the female primates placed on CR in youth, who numbered just 26 in total. Of these monkeys, the report states,
19 of these monkeys developed severe and rapidly progressing [and in some cases fatal (personal communication, J. Mattison)] endometriosis. The twentieth monkey of this group died at the age of 12 years from renal necrosis. It seemed apparent that this cohort was differentially affected in terms of long-term health, and thus, an indicator variable … was included in most analyses to control statistically for the effects of these animals on the outcomes of interest. … (6)
In performing statistical analysis of their data, the investigators have the advantage of the assistance of Dr. David Allison as a coauthor. Dr. Allison has earned the respect and gratitude of the biogerontology community for generating innovative statistical methods for analyzing survival and other data in aging (eg. (52)) and obesity research, and is as well-qualified as any statistician could be to identify and execute a statistical analysis suitable to accounting for the confounding influence of these deaths in the effect of CR in this subgroup, and in the juvenile animals as a whole. Still, it is more than reasonable to doubt that any method of statistical analysis would be sufficient to adjust for the fact that so many animals in the young-onset (and especially the female young-onset) subgroups died of one specific age-related disease, for reasons that seem likely to arise from exceptionally deleterious genetics or (more likely) husbandry, rather than to the effects (or lack of them) of the intervention that the study was intended to test — particularly when the overall number of animals is so low. When the last of the monkeys in the NIA study have died, it would be useful to see the mortality and health outcomes analyzed after censoring data from the female animals that spent most of their life at the Aberdeen Proving Ground.
Protocol-Specific Factors
Protein and Insulin-Like Growth Factor-1?
There is now extensive evidence of a highly conserved involvement of insulin-like growth factor-1 (IGF-1) signaling as a determinant of the rate of aging, and it is widely argued that reduced IGF-1 signaling is one important mediator of the age-retarding effects of CR.(56-58) In a study of long-term human Calorie restriction practitioners, it was recently discovered that the reduction in serum IGF-1 levels reported in rodent CR studies was abrogated in most subjects, due to a high intake of protein; reducing protein intake to approximately the Recommended Daily Allowance of 0.8 g/kg allowed IGF-1 levels to fall to within the lower end of the reference range, or even beneath it ((59), and author’s congruent anecdotal observation). Dr. Luigi Fontana, a principal investigator in this study, has accordingly suggested that the protein intake of the Calorie-restricted primates in the NIA study may have been too high, with the result that “key hormonal changes” (in context, evidently a reduction in IGF-1) may not have occurred.
If one accepts that a reduction in serum IGF-1 levels is a necessary contributor to the “anti-aging” effects of CR (and the present author is unconvinced), then it is reasonable to ask whether the lack of effect of CR on lifespan in the NIA study was because its CR protocol was less effective than that of the apparently successful WNPRC in reducing IGF-1 — either because of differences in the CR protocol itself, or, alternatively, because of nonresponsiveness in the NIA’s Chinese-sourced monkeys to a CR-induced reduction in IGF-1, in line with speculation that these animals may have had reduced genetic capacity to undergo the shift into an age-retarding metabolic state than the Indian-sourced monkeys at WNPRC. But what limited data are available on the subject point in the exact opposite direction to what this hypothesis would predict.
First, protein intake was, in fact, reduced in the CR cohorts in both studies: aside from the micronutrient fortification in the NIA study, CR was achieved in both studies by feeding the CR animals a smaller amount of the same chow as was fed to the AL animals in the same study. To the extent that the CR protocols reduced Calories, then, they concomitantly reduced protein intake. Since the percentage of protein by weight in the NIA-1-87 monkey chow used at NIA(62) (~17%) is very similar to that in the Tekland monkey chow #85387 used at WNPRC(7,63) (~15%), the relative reduction in protein intake was roughly equivalent in the two studies; moreover, as we will discuss in greater detail below, the animals in the NIA cohort were consuming fewer Calories and (granted the similar protein levels in the two chows) less protein than the WNPRC CR primates, and weighed less. The combination of fewer Calories, lower body weight, and lower dietary protein intake would certainly be expected to have resulted in a greater suppressive effect on IGF-1 in the NIA cohort, rather than the WNPRC study. (Whether the level of such reductions in either study was adequate to the goal of revealing an effect of CR on the aging process in nonhuman primates is a subject to which we will return later).
Only limited data are currently available on the effect of the CR diets in the two studies on actual plasma IGF-1 levels, but that data, too, points in the opposite direction to the hypothesis that the failure of CR to extend lifespan at NIA was due to a lack of effect on serum IGF-1. In the WNPRC cohort, CR exerted no effect on IGF-1 (or IGF binding protein-3) at either 3.5 or 4.5 years after onset (in animals initiated when 8-14 y old).(7) By contrast, at a similar time point in the NIA study (3-4 y of restriction, in monkeys initiated at ages 6-11), CR reduced serum IGF-1 levels significantly (from 470±36 ng/mL (AL) to to 367±28 (CR); p<0.05)) in adult-onset animals, with a similar trend (relative to age-matched controls) in old-onset animals (398±54 and 300±18 ng/mL, respectively; p= 0.121).(60) The NIA investigators are currently preparing a longitudinal data set on IGF-1 and several other serum anylates for future publication (personal communication, J. Mattison).
If IGF-1 had been substantially reduced in the CR cohort in the WNPRC study but not in the NIA study, then it would be plausible to relate the discrepancy between two studies’ outcomes to their discordant effects on the endocrine mediator. Instead, all available evidence suggests that the opposite occurred. An IGF-1-based explanation for the discordant effects of CR in the two studies must be considered extremely unlikely.
Micronutrient Toxicity?
The authors of the NIA report also propose the possibility that vitamin supplements may have played a role in their results:
The NIA study used one diet for both CR and control monkeys, which was supplemented with an additional 40% of the daily-recommended allowance to insure adequate nutrition for the CR monkeys. Thus, the NIA diet formulation supersupplemented the control monkeys [my emphasis]. The WNPRC study fed two different diets and only the CR monkeys were supplemented [to bring their total nutrient intake in line with that of AL animals (see (7)) -MR].(6)
Indeed, there is at least one recent precedent for potentially harmful excessive micronutrition in NIH-supported nonhuman primate research: subtoxic retinol oversupplementation of rhesus monkeys at the WNPRC(84) and elsewhere in the National Primate Research Center network.(99) Feed manufacturers commonly target levels of retinol higher than National Research Council (NRC) guidelines for primates to avoid deficiency, and there is some evidence that those guidelines may themselves be set too high.(99) Still, it is difficult to see how this could explain the results. On the one hand, if the AL animals at the NIA had been oversupplemented to the point of toxicity, this would have been expected to shorten their lives, and thereby create an artifactual survival advantage for the CR cohort rather, than nullifying a true effect. Contrariwise, it might once have seemed plausible that unintentional “megadose” vitamin supplementation of the controls might have increased survivorship in the AL cohort, obscuring a true CR effect. But no such hypothesis can be regarded as credible today, in light of the long and dismal history of failed attempts to extend the lives of experimental animals with antioxidant and other dietary supplements (excepting “extensions” that were in fact normalizations of lives cut short by overfeeding, endemic infections in vivaria, or exposure to toxins and carcinogens), and the many clinical trials of antioxidant and methylating nutrients in human subjects, which have failed to find a benefit and in many cases have reported trends toward increasing adverse outcomes.(15-19)
The “Natural” Diet?
Elaboration and discussion of some of the “differences in study design, husbandry and diet composition” between the NIA and WNPRC studies occupies a significant amount of the full body of the short paper in Nature,(6) and was a major focus of most media reports, with the qualitative differences in dietary composition receiving perhaps the greatest emphasis. As mentioned earlier, the NIA primates were fed NIA-1-87 monkey chow, a natural-ingredient-based diet principally composed of hard red winter wheat, corn, soybean hulls and meal, with fish meal for much of the protein and alfalfa meal and brewers’ yeast for much of the micronutrient nutrition.(62) By contrast, the primates in the University of Wisconsin study received chow #85387, “a pelleted, semi-purified diet (Teklad, Madison, WI) which contains 15% lactalbumin, 10% corn oil and approximately 65% carbohydrate in the form of sucrose and corn starch”, and all micronutrients were added in isolated form.(7,63) While neither diet closely mimics the natural diet of nonhuman primates in the wild, the NIA researchers noted that natural-ingredient-based diets “contain components that may have an impact on health such as phytochemicals, ultra-trace minerals and other unidentified elements. … The NIA diet contained flavonoids [from the soy components? -MR], known for their antioxidant activity, and fat from soy oil and … Fish meal … rich in omega-3 fatty acids.”(6)
But to the extent that the use of natural-ingredient diets might have affected the potential benefit of CR, rodent studies suggest the opposite conclusion from the one implied. While it is not implausible that the natural-sourced diet might have improved the survival of both CR and AL cohorts in the NIA study as compared to their equivalents at WNPRC, rodent studies have found that such diets either slightly increase the survivorship of both CR and AL animals in parallel, or further increase the lifespan advantage that is afforded by restricting Caloric intake.(eg. (8-11) and possibly (12)) Again, this is the opposite trend to what would be required to explain why CR was seemingly effective at WNPRC and not at NIA. In any case, such differences have been reported to be very minor, and would not be of sufficient magnitude to explain the starkly discrepant findings of the two studies at issue(5,6) even if they were in the opposite direction.
On the surface, is more plausible that the long-chain omega-3 fatty acids in the NIA diet might have reduced the risk of cardiovascular disease in the AL group to a sufficient degree that no further advantage would have arisen from CR, and indeed, cardiovascular outcomes were not improved by CR in their cohort.(6) However, it should be noted that the kind of cardiovascular pathology to which nonhuman primates fed low-fat chow are susceptible (see “Dyslipidemia and Cardiovascular Disease” below) is not amenable to modification with omega-3 fatty acids. Additionally, the protective effects of fish oil against cardiovascular outcomes even in humans are currently in question, although this doubt primarily centers on secondary prevention and in patients receiving current standard medical therapy.(13,14)
It should also be noted that any nutritional advantage accruing from the more “natural” base chow used at the NIA would be at least partly offset by fact that the animals at WNPRC received a daily serving of fruit,(7,63) whereas in the NIA study “each monkey was provided with a small amount of fresh fruit on a weekly schedule [my emphasis]”.(62) Intact fruit is both a more “natural” food source for nonhuman primates than grains or fish meal, and is also likely to be a richer source of bioactive compounds of health significance — although in a presentation at the second Calorie Restriction Society Conference, WNPRC principal investigator Dr. Richard Weindruch gave the rather unpromising (albeit intentionally humorous) example of a banana as one such frugivorous treat.
Overall, then, it seems that the use of a more “natural” diet in the NIA study (or, contrariwise, the highly refined diet at WNPRC) is unlikely to have played a major role in the lack of effect of CR in the NIA study.
Sweet and Deadly?
In addition to the possible effects of micronutrients in the NIA chow, there is also the question of a possible deleterious effect of a major constituent of the chow used at WNPRC: sucrose. As has been widely noted, the sudden rise in the rates of obesity(26) and diabetes type II(28) in the United States in the last ~30 y closely paralleled a contemporaneous secular trend toward higher absolute and relative availability and intake of refined carbohydrates, and especially added sugars. More recently, a worldwide econometric analysis of repeated cross-sectional national-level data has more directly tied a rise in population-level sugar consumption to increased prevalence of diabetes, after controlling for multiple confounding factors, albeit still on an ecological basis.(180) In this context, the possibility that added sugars — and especially fructose, which makes up 50% of the sucrose disaccharide and ~55% of the most common form of the widely-disparaged “high-fructose corn syrup” — are metabolically toxic to humans at such doses(22-27) has been invoked as a prominent (albeit contentious (30)) explanation for the recent epidemic of obesity and diabetes. An expert committee of the World Health Organization has recommended restricting intake of added sugars to ≤10% of energy needs,(30) and more recently the American Heart Association (AHA) has suggested an even smaller prudent intake of ≤5% of energy;(31) while not laying out a specific target, the 2010 Dietary Guidelines for Americans are more explicit than previous editions in advising Americans to “Consume fewer foods with … added sugars”, and similarly the 2013 Australian Dietary Guidelines call on consumers to “Limit intake of foods and drinks containing added sugars such as confectionary, sugar-sweetened soft drinks and cordials, fruit drinks, vitamin waters, energy and sports drinks.”
The diets fed to the AL and CR primates at WNPRC were (respectively) 28.5% and 25.7% sucrose by weight;(7) by contrast, the NIA chow was only 3.9% sucrose.(6) The high sucrose content of the WNPRC diet constitutes a compelling if unintended parallel to the dietary habits of significant proportions of the Western and especially American population: based on self-report, ~13% of the US population self-reports consumption of ≥25% of energy (not diet weight, NB) from added sugars.(20)
One hypothetical explanation for the divergent results in the WNPRC and NIA CR cohorts, then, is that the high-sucrose diet used in Wisconsin was metabolically toxic, and that the observed benefits attributed to restriction of energy intake per se in the WNPRC study were actually due to a more specific effect of reducing the absolute intake of sucrose (or fructose) when the diet was fed in lower amounts. Because there was very little sucrose in the NIA chow, the reasoning goes, there was little benefit to further reducing its intake.
In addition to studies suggesting a specific deranging effect of high-fructose diets on human metabolism,(22-27) the plausibility of this line of reasoning is bolstered by studies in nonhuman primates. Studies by Dr. Janice Wagner at the Wake Forest School of Medicine (reviewed in (100)) used an experimental high-fructose (20% of dry weight) diet in order to examine the course of disease progression from normoglycemia to diabetes in initially-nondiabetic cynomolgus monkeys. This diet is close to the ~14% fructose content (from ~28% sucrose) in the WNPRC CR study chow. While Wagner did not perform a study to directly compare animals on the high-fructose chow to those on a conventional low-fructose diet, her own comparisons between groups of animals in separate studies in her laboratory shows that animals on the high-fructose chow had higher levels of serum triglycerides (TG).(100) Fasting glucose and insulin levels were similar and low in lean animals fed either diet (including 12 animals fed the high-fructose chow), but many fructose-fed animals became hyperinsulinemic (HI) (n=8) or exhibited impaired glucose tolerance (IGT; n=10), and these animals tended to be heavier if female; 5 obese animals were both HI + IGT. “[W]ithin 1 yr after this classification, one of 10 monkeys in the IGT group and three of five monkeys in the HI+IGT group became diabetic.”(100)
More recently, Dr. Peter Havel’s laboratory in the UC Davis Department of Nutrition has performed similar studies with an even higher-fructose diet.(33) In their protocol, rhesus monkeys were provided with both an unlimited supply of a natural-ingredient chow diet similar to the one used at the NIA, and 500 mL of a 15% fructose beverage. Within the first 3 mo of the study, the animals appear to have reached a steady-state intake of ~1/3 of total Calories from the fructose beverage, which is more than twice as much fructose per se as was present in the WNPRC animals’ chow. By 1 y, all animals in the Havel fructose study had developed at least some elements of the metabolic syndrome, including notably elevated TG and insulin resistance, and 4/29 animals had progressed to frank diabetes.(33) As in Wagner’s earlier studies,(100) there was no control group fed isocalorically with a low-fructose diet (either from chow, or eg. a beverage sweetened with glucose); also unfortunately, the body weight trajectories in Havel’s report are not reported in sufficient detail to allow for a clear understanding of the role of adiposity in the development of diabetes in his study, but it seems implied that weights were similar until late in the study, when diabetic animals entered into a period of disease-associated weight loss.
Overall, these studies suggest that high-fructose diets induce some aspects of metabolic syndrome in monkeys, although obesity appeared to be required to push cynomolgus monkeys into prediabetes or diabetes at fructose intakes similar to those in the WNPRC primates. Similarly, it has been reported that as compared with rats fed diets free of fructose (carbohydrate from cornstarch or glucose), adult rats fed different fructose-containing diets (as sucrose, fructose, or an equimolar mixture of fructose and glucose) also develop hypertriglyceridemia,(36) in line with observations in humans and (importantly) in Havel’s nonhuman primate model. However, while groups of rats fed fructose-containing diets exhibited significantly higher TG than animals isocalorically fed fructose-free diets, CR rats in this study exhibited substantially lower TG than AL animals as a group, irrespective of diet composition.(36) The main variable affecting fasting glucose and glycated haemoglobin in these animals was also energy intake (CR vs. AL), although fructose-free diets were generally modestly more conducive to healthy glycemia than fructose-containing diets when compared on an isoenergetic basis.(35)
Would concomitant amelioration of such fructose-induced metabolic derangement by “Calorie” (and thus fructose) restriction in the WNPRC study(5) be sufficient to explain its results, and the lack of an additional effect of CR on lifespan at the NIA,(6) where all animals consumed substantially less fructose than even the CR animals at WNPRC? Such an interpretation would seem to be consistent with the higher incidence of cardiometabolic disease in the AL animals at WNPRC than the control animals in the NIA study (vide infra for further discussion of these findings). However, in the just-referenced study of rodents fed diets containing various carbohydrate sources on a CR or AL basis,(36) all CR animals lived similarly long lives, and substantially longer lives than did all AL-fed animals, irrespective of source of carbohydrate in their diets. In fact, it is notable that despite the lipaemic effects of the fructose-containing diets, the nominal effects on survivorship (their Table 2) indicate that animals fed diets containing fructose in some form lived at least as long if not longer than those fed isocaloric diets lacking in fructose; this trend was particularly evident in animals fed such diets on a CR basis, particularly as regards maximum lifespan.(36) Great caution is due when evaluating the effects on longevity observed in this report, as the cohorts are too small to be confident of their ability detect a strong lifespan effect even when pooled, and as all animals in this cohort lived unusually short lives for a rat of the normally-longevous Fischer 344 strain, but it is certainly not consistent with an effect of fructose feeding so profound as to have been responsible for a purely artifactual “extension” of life in the WNPRC CR animals.
On the other hand, the NIA investigators cite in this context another study by this same group(34) whose findings seem to be diametrically opposed to the nominal findings of the report just discussed. In that earlier study, the authors had found a survival advantage in Fischer 344 rats that had been fed cornstarch-based diets on an ad libitum basis over animals given AL access to sucrose-based chow. Similarly, when fed under CR conditions, the starch-fed rats enjoyed a the greatest extension of maximum lifespan. However, this effect on maximum lifespan was counterbalanced by a very severe increase in early-life mortality in the starch-fed CR animals, resulting in no net increase in mean longevity as compared to their AL counterparts. This idiosyncratic survival pattern is in contrast to many other studies (eg. (8,9,36)) feeding starch-based diets to laboratory rodents, in which CR has led to a straightforward increase in survivorship across the entire lifespan. In the same study, animals fed a sucrose-based CR diet enjoyed the longest mean lifespan of all groups (measured in absolute, and not merely in relative, terms), and a significant extension of maximum lifespan relative to both sucrose- and starch-fed AL animals.(34)
One hypothetical explanation for the curious findings of this earlier study(34) is that the carbohydrate in the starch diet was poorly absorbed by the rats, leading to a modest unintended restriction of Calories in both CR and “AL” starch-fed rodents. This might, for instance, have been caused by excessively-dense pelleting or cooking of the diet. Several observations within the study are consistent with this interpretation,† although it was not shared by the authors. In this scenario, such “crypto-CR” would then have extended life in a predictable manner in the “AL” starch-fed rodents, leading to their greater longevity relative to sucrose-fed AL animals; but when superimposed on an intended 40% CR, this additional reduction in energy availability might have been too severe for many animals in the CR cohort, resulting in the observed early mortality. Yet, survivors of this early attrition would have lived out their lives under very severe CR indeed, resulting in a powerful deceleration of the degenerative aging process and thus the greatest extension of lifespan of all cohorts.
Any extrapolation of any of these rodent studies(34-36) to the effects of fructose or sucrose feeding and/or CR to possible effects in human or nonhuman primates is also limited by the fact wild-type rats do not develop atherosclerotic heart disease, and so would not manifest some of the main potential deleterious effects of a high-fructose diet on AL or CR humans — although this is less of an issue with rhesus monkeys, who also do not develop such lesions unless fed a high-cholesterol, high-fat diet (see below under “Dyslipidemia and Cardiovascular Disease“). Whatever the proper interpretation of these studies,(34-36) they offer no support for an hypothesis that the effect of CR in the WNPRC primates can be attributed to a simple alleviation of fructose-induced metabolic derangement.
The “Diminishing Returns” Hypothesis
Optimal Leanness?
This is perhaps the most intuitive, the most parsimonious, and — if accepted as sound — the most dispositive of interpretations of the discrepancy in outcomes between the Wisconsin and NIA studies. In order to disentangle the effects of CR from the mere absence of obesity, better-quality rodent CR studies have long ceased feeding their “AL” animals on a literally ad libitum basis. Instead, investigators follow a practice promulgated by Dr. Roy Walford and his then-graduate student (and now WNPRC PI) Dr. Richard Weindruch,(10) in which the “ad libitum” animals are in fact “restricted” by 10-20% of their self-selected dietary intake, keeping their body weights reasonably healthy. The NIA primate study investigators attempted to implement a version of this protocol in their cohorts by initially establishing individual animals’ food allotments based on energy requirements laid out in the 1978 National Research Council guidelines, using their ages and body weights averaged over the three months prior to assignment of final CR or AL status, and then restricting their CR cohorts gradually from there. This led to reductions of absolute food intake of 23% in juveniles and 24% in adult-onset groups halfway through the first year of the study, and slowed their weight gain by 46 and 49%, respectively.(62) At WNPRC, by contrast, the ad libitum control diet was literally fed ad libitum, and the CR monkeys were restricted based on the amount of food they had eaten on average over the preceding 3-mo period.(63) Moreover, even judged by its own targets, it is evident that the level of CR at WNPRC was not adequate even relative to the (likely overfed) ad libitum controls, due to an early overenthusiasm for the high-sucrose chow:
After the first 18 months of restriction the intake of the CR animals was only 18% less than that of the controls (which gained weight during the first several months of the experiment) because the latter gradually ate less than they had during the baseline phase; in fact, animals with the highest baseline intakes voluntarily reduced their intakes the most. Allocations to the CR animals were adjusted … to reestablish the intended 30% differential .. The unexpectedly high intake of the animals during the first year or so of the study was attributed to a transient response to the greater palatability of the semipurified diet compared to the standard chow used to maintain the colony.(64)
Based data culled from earlier reports and presented in the Supplementary Table 2 of the NIA primate study, the percentages of reduction of energy intake and body weight relative to the controls in the same study were similar between the two studies (with the exception that at age 21, the relative weight reduction in CR males at WNPRC seems to have been greater than that of similar-aged animals at NIA). But crucially, the absolute energy intakes, body masses, and percentages of body fat of AL and CR animals in the NIA study were lower than those of the corresponding groups of animals in the WNPRC study.
The present author has previously highlighted the importance of using historical control data for absolute energy intake and body weight in CR and AL animal cohorts, and its evident and unsurprising relationship to absolute lifespan outcomes in different studies.(65) In mice, the relationship between degree of energy restriction and lifespan extension appears to be a straightforward linear function.(65,66,67) Importantly, this relationship is decoupled from the simple loss of excess adipose tissue or weight (42-45,78,79) and extends well past the 20% restriction point at which laboratory mice become anoestrous,(68) this being one of several lines of evidence demonstrating that the energy balance of laboratory animals under CR regimens is not simply a return to “normal” levels in the wild from overfed laboratory conditions.(46)
Instead, the age-retarding effect of CR is widely thought be a specific adaptation, which allows the redirection of energy away from growth and reproduction and into somatic maintenance during periods of famine, in order to ensure survival and future reproductive opportunities.(77,80) (The present author finds this hypothesis unlikely, but places his reservations to one side for analysis of what follows). But in humans, it has been argued by some, there would not have been selection pressure to maintain such flexibility in resource allocation, because seasonal famines constitute so much less of a share of our species’ total reproductive lifespan,(80,81) and/or because of the lower relative investment cost of reproduction to human females, (80,82,83) and/or to the differing overall reproductive strategy (and ensuing differences in cellular metabolic stability) of our species as compared with laboratory rodents,(82) and/or our ability to use alternative, behaviorally-based strategies for famine survival.(249)
A straightforward reading of the two nonhuman primate CR studies, then, is that in rhesus macaques, the relationship between energy intake, body weight, and lifespan is the commonsensical one, against which the rodent CR phenomenon stands as such a stark contrast: that overweight and excess adiposity are bad for one’s health and prospects for long life, but that some normative “healthy” anthropometry is optimal, with diminishing returns at best as energy intake and body weight are progressively reduced beyond that juste milieu. Indeed, skeptics of the human translatability of CR have long argued that the weight loss that is associated with CR appears to only be salutary to health within a relatively narrow range. They argue instead that further limiting energy intake and adiposity will lead to progressively less marginal benefit, especially in light of the uniquely metabolically deranging effects of visceral adipose tissue, which is preferentially lost early in the process weight loss, whether achieved by diet or exercise.(69) Such skeptics also point to the importance of maintaining lean mass — both muscle and bone — for preserving health during aging, and to the large number of epidemiological findings (eg. (70,71)) suggesting a J-shaped or U-shaped relationship between body mass index (BMI) and mortality, although the relevance of these findings to the Calorie restriction phenomenon is dubious.*
In this interpretation, the slight restriction imposed on NIA control animals, leading to an energy intake and body weight that was intermediate between those of WNPRC’s ad libitum and restricted groups, was sufficient to achieve or closely approach the point of diminishing health and longevity gains, and a further restriction from this point in the CR group therefore yielded no further extension of lifespan.
This explanation of the discrepancy in the effects of CR as compared to internal control animals in the WNPRC(5) and NIA(6) studies has much to offer. It is conceptually straightforward; it is consistent the major findings of the two studies, and with an important body of research in humans; it fits with some models of the postulated evolutionary basis for the slow-aging phenotype of CR; and is not exclusive of some of the other explanations we have explored. And, as we shall see in the next section, it can also provide a consistent explanation for several differences in health and metabolic outcomes between the two studies, and accommodate a broader body of research on diet and metabolism in nonhuman primates.
Inter-Cohort Health and Disease
Caution is due when comparing the quantitative results of the methodologically heterogeneous nonhuman primate diet and health studies that will form the center of this section. (5,6,33,100). This is particularly true of Wagner’s data,(100) as her studies were performed in cynomolgus monkeys, although Wagner herself notes that the trajectory from glucoregulatory health to insulin resistance and type II diabetes is very similar between them and rhesus macaques. With that caveat, it is instructive to compare the “control” animals in these studies with their counterparts in other studies, and with the beneficial and deleterious effects of the interventions (fructose feeding and reduced energy intake) to which they were subjected.
It is reasonably clear from the data presented in Table 1 that having lived for many years with unlimited access to a high-sucrose, semipurified diet, the WNPRC control animals bear more resemblance to the overweight primates with fructose- and/or overweight-induced prediabetes or metabolic syndrome in Wagner’s(100) and Havel’s(33) studies than to true, healthy control animals. This lends substantial weight to the explanation that many of the benefits of “CR” in the WNPRC cohort were not the result of anti-aging Calorie restriction per se, but to the prevention of the deranged metabolism resulting from obesity and a diet high in fructose — along, perhaps, with a diet depleted of some of the non-essential micronutrients present in the natural-ingredient diet at NIA. Indeed, the deleterious effects of high fructose feeding may be exacerbated by a diet of highly refined foods, due to the high hepatic demand for reducing equivalents and for particular nutrients.(24)
In this model, the NIA study control animals would then stand out as “true,” healthy control animals, implying that the effects observed in the NIA CR intervention constitute a realistic model of what can be anticipated from the adoption of CR by human subjects. This interpretation may initially seem at odds with particular outcomes in the two studies, but most of these evaporate when the underlying data are evaluated critically.
Glucoregulation and Diabetes
The WNPRC investigators reported that 5 of their 38 AL monkeys developed diabetes, along with 11 that became prediabetic,(5) vs. 5 cases of diabetes out of a total of 64 AL monkeys at NIA (with no information given on a prediabetes diagnosis).(6) Even from these nominal figures, it would appear that there was less diabetes even in the AL animals at NIA (~8% incidence) than at WNPRC (~13%), consistent with the effects of overweight and high-sucrose feeding in the latter group. Indeed, in examining the data assembled in Table 1 and the original reports, it is evident that, in absolute terms, the glucoregulation of the NIA AL and CR cohorts were in aggregate as healthy or healthier than those of the parallel cohorts at WNPRC. The average fasting glucose levels for both CR and AL cohorts at WNPRC were roughly 3.3 mmol/L at study initiation, but rose to 4.2 mmol/L in AL animals at the 8.5 y mark (mean age 17.8±0.3 y), while remaining roughly steady at 3.2 in CR monkeys.(104) The fasting glucose levels of WNPRC AL animals aproximated those of fructose-fed animals with metabolic syndrome or prediabetes in Havel’s(33) and Wagner’s(100) studies, while those of their CR group are similar to (rather than significantly better than) Wagner’s normal, nondiabetic controls.
At NIA, there is no exact parallel in terms of age of initiation, but in the closest subgroup of monkeys (animals initiated as adults (mean 4.2 y.o. at initiation), assessed after 7 y on diet), both the AL and CR animals’ fasting glucose levels were intermediate between the two WNPRC cohort, at ~3.77 and 3.55 mmol/L.(visual inspection of Figure 1 in (117)) The fact that fasting glucose levels are so much lower in all four of these other cohorts (“CR” animals at WNPRC, healthy controls in Wagner’s studies, and both the AL and the CR groups at NIA), rather than exhibiting a dose-response effect of progressively-lower fasting glucose with progressively lower body weight (or perhaps visceral or ectopic fat?) or energy intake, is roughly in line with the predictions of the “diminishing returns” hypothesis.
In addition to what were clearly pathologically-high fasting glucose levels, the WNPRC AL animals were also hyperinsulinemic, with fasting insulin a remarkable 303±43 pmol/L in the AL cohort — well above the levels in Wagner’s control or normoglycemic fructose-fed cohorts, and more closely approximating Havel’s animals at baseline or Wagner’s fructose-fed hyperinsulinemic animals (Table 1). But whereas fasting glucose remained broadly in an acceptable range but unresponsive to further reductions in energy intake in all lower-energy-intake groups, fasting insulin levels instead tracked body weight and energy intake, with progressively lower levels in NIA AL, WNPRC CR, and NIA CR animals. Rather than a case of “diminishing returns,” this may instead suggest that these animals are maintaining serum glucose levels in a physiologically-appropriate zone, but that progressive reductions in energy intake allow for target levels to be maintained with lower insulin levels, consistent with progressive improvements in insulin sensitivity.
In all, there are “mixed signals” in the glucoregulatory data in the WNPRC CR animals: lower fasting glucose than NIA CR animals, but substantially higher fasting insulin. It is curious in this context that despite the higher reported incidence of diabetes in AL animals at WNPRC than at NIA, the WNPRC investigators found that none of their CR animals developed “signs of impaired glucose homeostasis”,(5) while 2/40 young-onset CR monkeys at NIA were reported to become diabetic.(6)
Dyslipidemia and Cardiovascular Disease
The data on lipid metabolism in these animals are also somewhat ambiguous (Table 1). Serum cholesterol was unhealthily high in both AL and CR animals at WNPRC — higher, even, than in Wagner’s or Havel’s fructose-fed and/or overweight animals with diabetes or metabolic syndrome — and CR had no effect on the number of protein, cholesteryl ester, or free cholesterol molecules per LDL particle.(116) By contrast, it is notable that serum cholesterol levels were low in both CR and AL cohorts in the NIA study.(118) We do not have a longitudinal data set for these younger-onset animals, but while serum cholesterol levels rose with age in the old-onset AL NIA animals, even they did not approximate the levels of Wagner’s fructose-fed animals until the very end of the lifespan,(6) and never reached levels as high as those of young-onset AL animals at study onset in the WNPRC. Meanwhile, serum cholesterol fell modestly in old-onset CR animals.(6)
The data on lipemia are more in line with what one would predict from energy intakes in these groups. The AL WNPRC primates exhibit clear hypertrigliceridemia, greater even than that of Havel’s monkeys after 12 mo of fructose feeding, and similar to that of fructose-fed, hyperinsulinemic primates with impaired glucose tolerance;(100) it is this exaggerated lipemia which was brought down to relatively normal levels in the CR group. The NIA AL animals’ triglyceride levels were far healthier than those of the equivalent groups in WNPRC, but notably, those of the two equivalent CR cohorts were quite similar, and no subgroup had serum triglycerides as low as those of the slightly younger control animals in Wagner’s study.(6) This is closer to what would be expected in a “diminishing returns” scenario.
In light of the overall superior metabolic health of the NIA primates, the NIA study report’s statement that “CR did not reduce the incidence of cardiovascular disease [in their cohort] as was reported in the WNPRC colony”(6) merits deconstruction. It should first be noted that the relationship between lipids and diagnosed “CVD” in these studies is not at all the same as it would be in humans, because the cardiovascular lesions reported in the animals in both studies were not atherosclerotic in nature: in fact, rhesus monkeys do not develop atherosclerosis unless they are fed dietary cholesterol in combination with a relatively high-fat diet, which were not features of either center’s chow. Rather, the cardiovascular pathology in these studies consisted of non-atherosclerotic lesions such as valve endocardiosis, cardiomyopathy, myofiber degeneration, and myocardial fibrosis, all identified at autopsy.(5,6)
Turning to that pathology, consideration of the absolute prevalence of such lesions appears to support a “diminishing returns” interpretation of the contrasting findings on the effects of CR on the two cohorts. 4/38 (10.5%) of AL animals at WNPRC developed CVD, vs. 2/38 (5.3%) of CR animals; hence, the reported 50% reduction in the incidence of CVD in the WNPRC CR animals. At NIA, 5/64 AL animals (7.8%) developed CVD, and 3/57 CR animals did so (5.2%). When presented in this way, we see that WNPRC AL animals had substantially higher CVD prevalence than any other group in the two studies, and the prevalence in both studies’ CR cohorts were roughly half of that level, with the disease burden in the NIA AL animals intermediate between the two in nominal terms, leading to a nonsignificant trend toward reduced incidence of CVD in the NIA CR animals. The greater relative reduction in cardiovascular pathology resulting from CR in the WNPRC study, in other words, is the result of the more severe burden of disease in their overfed AL controls, rather than a superior effect of CR in their colony. And the overall pattern is also consistent with the “diminishing returns” hypothesis, with cardiovascular pathology being progressively reduced as each subgroup’s absolute body weights and Caloric intakes fall, but with no further reduction in pathology between the two studies’ CR groups.
Proliferative Disease
As has already been noted (“Pre-Existing Disease?“, above), the evaluation of proliferative disease in the animals at NIA is severely confounded by the extremely high prevalence of severe, rapid-onset, and sometimes fatal endometriosis in the young-onset female primates sourced from China via the military research center.(6) Moreover, because the pathophysiology of endometriosis is distinct from that of cancer per se, these deaths were not tallied with cancers, or otherwise reported in detail. With this caveat: when pooled together, the prevalence of neoplastic disease in the NIA AL and CR cohorts appears to have been similar to the corresponding cohorts at WNPRC: 12/64 NIA AL cases (18.8% prevalence) vs 8/38 WNPRC AL cases (21.1%), and 7/57 NIA CR cases (12.3%) vs. 4/38 WNPRC CR cases (10.5%). Thus, on the surface, the apparently more severe CR at NIA does not appear to have resulted in a significantly more powerful protective effect against cancer, consistent with an hypothesis of diminishing returns. In this context, it bears consideration that unlike with cardiometabolic health and diseases of its derangement, the effect of over- and underweight per se on cancer in humans appears to be relatively minor (109,110,115,120). On the other hand, the inclusion of the relatively large number of old-onset animals in such a pooled analysis of the NIA animals may mask the true potential of CR against cancer, due to the long latency of cancer as a clinical entity: consider that the mean age at diagnosis of cancer in the young-onset animals was 22.8±1.7 years, which is within the range of ages at onset of CR in the older group (16-23 y). When broken down by age of onset, young-onset CR afforded very substantial protection against malignant neoplastic disease at NIA (6/46 AL cases, of which 5 were fatal, vs. 0/40 cases in CR), while old-onset CR did not (6/18 vs 7/17).
Endocrinological Markers and Mediators
Comparison of the divergent effects of CR on serum levels of several hormones in the two studies at first seems paradoxically opposite the evidence suggestive of diminishing returns on other CR- or adiposity-associated benefits. “Diminishing returns” would seem to predict a large relative effect in “restricting” from overfeeding (WNPRC AL) to normal feeding (WNPRC CR, and NIA AL), with little or no further effect of substantially less energy intake and therefore weight loss (NIA CR). But in the case of hormones that are typically modulated by CR in rodents, the effect initially seems to be the reverse, albeit only modestly so. I have already noted (“Protein and Insulin-Like Growth Factor-1?“, above) that IGF-1 was reduced in CR animals in the NIA study (although the effects on old-onset animals were not statistically significant), , in line with what is seen in rodents, whereas no such reduction was observed at WNPRC. Similarly, serum triiodothyronine (T3) was reduced ~14% in the young- and adult-onset CR primates at the NIA, though the effect was only statistically significant in females,(161) whereas it was not affected at all by CR at WNPRC.(7) And while CR delayed the onset of puberty — and the accompanying rise in testosterone — in male NIA monkeys subjected to CR while still prepubertal,(157) there was no effect of CR on mean or maximal testosterone levels in mature primates,(61,97) aside from blunting the trough in its diurnal cycle.(97) Similarly, there was no effect of CR on estradiol, follicle-stimulating hormone, progesterone, luteinizing hormone, or menstrual cyclicity in young CR females.(119) Data on reproductive hormones from WNPRC do not appear to have been reported.
The fact that there was some effect on these hormones at NIA, rather than none as at WNPRC, may speak to a “threshold effect” that in this case is not formally incompatible with “diminishing returns” on health and longevity. These hormonal shifts may not happen in a continuum, but only occur when the organism’s energy economy is under serious challenge, requiring an unusual level of energy conservation, extending perhaps to the suspension or serious curtailment of metabolic activities that are deemed not essential to the organism’s immediate survival. In this case, the scenario would be that the energy surfeit in the WNPRC control animals may have been so large that a 30% relative reduction was insufficient to elicit any such response in the CR animals in that study, or the similarly-situated NIA AL monkeys. It is only when animals in the NIA CR group were subjected to substantial further reductions in energy availability that this more “defensive,” energy-conserving hormonal milieu was elicited.
This “threshold” scenario is, on its face, more in line with the classical understanding of the mechanisms underlying the age-retarding effects of CR (and the present author’s ideas as well) than with a “diminishing returns” interpretation of the two studies, but it is only truly such if that energy-conserving endocrinological response actually mediates an ensuing age-retarding metabolic state; otherwise, it could be consistent with “diminishing returns” by simply being of no benefit to health and lifespan beyond its immediate effects in mitigating the risk of near-term starvation. It is to these “harder” outcomes to which we will now turn.
Overall Age-Related Morbidity and Mortality
As discussed above, the WNPRC investigators reported that CR in their colony had reduced the incidence of age-related disease. The age of onset of first age-related disease (operationally defined as cancer, diabetes, cardiovascular pathology, diverticulosis, and clinically-relevant arthritis) was delayed in their CR animals, and “Age-related diseases were detected in control animals at about three times the rate they were detected in animals on CR.”(5) Using the same panel of diseases as an index age-related morbidity, the NIA investigators also reported a nominal delay in the incidence of age-related diseases in their CR cohort, but the trend did not reach statistical significance (p=0.06);(6) this is consistent with the reported reductions in cancer, diabetes, and cardiovascular pathology reviewed above. When survival free of diagnosed age-related disease in the various cohorts of the two studies are plotted on the same scale, the AL and CR cohorts in the NIA study again appear prima facie to have had worse health than their corresponding cohorts in the WNPRC study (Figure 4). The apparent disconnect between group average glucoregulatory data and diabetes diagnosis between the two studies (discussed above) may play some role in this, but evaluating this speculation would require additional analysis on an individual animal basis to parse.
Figure 4. Survival Free of Age-Related Disease in WNPRC and NIA Primates. Blue line: NIA AL. Black line: WNPRC AL. Brighter red line: NIA CR. Darker red line: WNPRC CR. Original figures from (5) and (6) with permission; edited for scaling by Edouard Debonneuil.
Age-related mortality, again, was reported to be substantially reduced by CR at WNPRC: (Figure 1): as of 2009, 50% of AL animals had died, as vs. just 20% of the CR animals, and specifically age-related mortality stood at 37% and 13% of the two respective cohorts. And by contrast, to repeat, neither total nor age-related mortality was reduced in CR vs. AL primates at NIA (Figure 3). However, “Although CR has not increased mean or maximum lifespan relative to control, 50% survival for the females is 27.8 years and 35.4 years for the males, exceeding the 27 year median lifespan previously reported for monkeys in captivity.”(6) In particular, moreover, “In an estimate of NIA’s current data (as of 1 December 2011) to the published WNPRC data [5] … NIA monkeys, both control and CR, may have a lifespan advantage comparable to the WNPRC CR monkeys [my emphasis].”(6) Although the lack of significant difference between CR and AL animals within the NIA study is not supportive of a true CR effect, and seem consistent with a “diminishing returns” interpretation,‡ the greater longevity of all NIA animals compared to historical controls, and to all WNPRC cohorts, seems to demand further explanation. Qualitative differences in the diet could possibly fill in part of the gap with WNPRC, but would require further probing for comparison with other historical comparators.
From Monkey to (Wo)Man (or Not)
The rationale for these multi-decade studies (5,6) was to provide strong indirect evidence on an important question: can the dramatic youth-preserving, health-maintaining, life-extending effects of Calorie restriction observed in laboratory rodents and other animals be translated into our own species? Studies in nonhuman primates held under controlled conditions clearly constitute very strong evidence on this question, and yet prima facie, we have conflicting results: based on the lifespan data, the WNPRC study seems to answer the question in the affirmative,(5), while the NIA study(6) has come back with an apparent negative.
We have so far explored possible resolutions to this dilemma through comparison of the two studies’ methods and outcomes. But it bears remembering that, despite the lack of a true, long-term clinical trial, we do have increasingly extensive information on the effects of CR when practiced rigorously by humans. The CALERIE studies, while prospective and controlled, primarily show us the effects of weight loss in overweight individuals, and therefore have relatively little bearing on the core question at hand. However, data on the effects of CR in humans who are initially of normal weight (and thus more comparable to the protocols that extend youth and lifespan in laboratory rodents), is available from several sources. These include the serendipitous experiment in human CR that occurred in Biosphere 2;(94) other informal and/or short-term studies reviewed in (95); and above all from Fontana and Holloszy’s studies of a small group of volunteers (typically 18 males and 4 females, although some reports have included up to 28 subjects(91)) from the CR Society, who had been practicing long-term, rigorous CR for an average of 6.3 (3-15) years in the period during which the data for most reports were gathered.(59,86-93a) (It bears disclosing that the present author is amongst their number). While these studies have not reported “hard” endpoints such as heart attacks or cancer diagnoses, and by their nature cannot answer the question of whether CR will retard aging in humans, these reports have given us a rich picture of the physiological, functional, and perhaps even structural changes that occur in humans under the influence of a CR diet.
Reviewing the reports on the CR Society volunteers, one is struck by the many ways in which these free-living human CR practitioners appear to be in a more “CR-like” state than the nonhuman primates under regimented experimental CR at the NIA. Consider the effects on lipid metabolism. In the NIA primate study, only the old-onset male CR monkeys enjoyed substantially lower serum cholesterol, with a modest effect in old-onset females, a borderline trend in young-onset males, and no effect in young-onset females. And while old-onset CR animals had substantially lower triglycerides than controls, the effect in young-onset males was quite modest, and young-onset CR actually increased serum triglycerides in the females.(6) By contrast, “Long-term calorie restriction is highly effective in reducing the risk for atherosclerosis” in the CR Society cohort,(93) profoundly lowering total and LDL cholesterol and serum triglycerides, while elevating HDL.(92,93) Additionally, CR decisively lowered markers and mediators of inflammation and proliferation relevant to cardiovascular disease risk in these subjects, including serum hsC-reactive protein, platelet-derived growth factor AB, tumor necrosis factor-α, interleukin-6, and transforming growth factor-β1.(89,92,93)
Similarly, CR had no significant effect on fasting glucose in the young-onset CR primates in the NIA study, and the females even tended to have higher levels than controls.(6,117) But in CR Society volunteers, CR lowered fasting glucose and insulin substantially.(93) And while the effects on metabolic markers seem to have been weaker in female NIA primates than in males, there are no remarkable differences in metabolic response to CR by gender in CR Society members (personal communication, Fontana, 2012/09/13) (although the number of female study subjects has been low).
In addition to effects on the metabolic precursors of various forms of cellular and molecular damage of aging, there is significant evidence of deceleration or even reversal of structural cardiac aging in subjects from the CR Society. While we do not have autopsy reports on the condition of the hearts of human CR practitioners to compare to those of the nonhuman CR primates in our two studies,(5,6) CR Society study volunteers’ carotid artery intima-media thicknesses (IMT) are ~40% lower than in controls consuming a conventional Western diet. This is consistent with previous evidence that atherosclerotic plaque is either greatly decelerated, or possibly reversed, in concentration camp victims and in major economic depressions.(159,160) Similarly, CR Society study volunteers’ cardiac diastolic function is similar to that typical of people 15 years younger,(92) and “Heart rate variability in the CR individuals was comparable with published norms for healthy individuals 20 years younger.”(86)
Prior to CR, “the initial BP [blood pressure] levels of the 12 individuals in the CR group who gave [Fontana et al] copies of their medical records were similar to those of the comparison group;” after CR, “Both systolic and diastolic blood pressures in the CR group were remarkably low, with values in the range found in 10-year-olds.”(93) While much of the effect on BP is likely to result from changes in endothelial function, the effect on systolic BP in particular suggests an effect on arterial structure, since the main driver of the age-related rise in this parameter is arterial stiffening, which in turn has been dissociated from conventional risk factors for cardiovascular disease other than BP and aging itself,(121) and is primarily thought to result from the accumulation of structural damage in central arteries, including nonenzymatic crosslinks and the breakage and fraying of arterial elastin.(121,122) And here, again, the effect of CR in the CR Society volunteers was more powerful and consistent than observed in the NIA primate study. Rather than reversing the age-related rise in BP, CR in the NIA females merely decelerated its trajectory through young macacque adulthood and middle age (Figure 3 of (158)) — and the effect of CR on BP in the NIA males was only a nonsignificant trend.(158)
Importantly, the CR Society volunteers also exhibited a cluster of endocrinological adaptations to CR that are both consistent with what is observed in rodents undergoing anti-aging CR, and includes several likely mediators of those anti-aging effects. IGF-1 is reduced in CR Society cohort members, provided that dietary protein intake does not greatly exceed requirement levels.(59,89) The subjects from the CR Society exhibit substantial reductions in bound and free T3;(89,91,94) additionally, reverse T3 was elevated in subjects in Biosphere 2(94) and in several individual CR Society cohort subjects who have had it measured privately (personal anecdote and personal communications), further reducing its bioactivity. Consistent with a reduction in bioactive T3, CR Society subjects’ mean 24-hour, daytime, and nighttime core body temperatures are lower than those of Western diet and marathon-running controls.(87) Additionally, CR lowered total and free testosterone in males in the CR Society cohort.(88,89)
But as reviewed previously (“Protein and Insulin-Like Growth Factor-1?” and “CR-Related Endocrinology,” above), the effects of CR on these hormones were modest or inconsistent in the NIA study, and nonexistant at WNPRC. Surprisingly, then, some findings suggest that long-term CR induced a more “CR-like” metabolic state in the CR Society volunteers than it did in the CR macaques in either of the nonhuman primate studies. And in specific in contrast to the NIA primate study, female subjects from the CR cohort have in general exhibited the same metabolic changes as have the males (personal communication, Dr. Fontana), although to repeat, the number of women involved in the study reports has been low. Thus, one possible hypothesis might be that the “CR effect” has figuratively “skipped an (evolutionary) generation,” and is retarding aging in humans despite the fact that it may have failed to do so in nonhuman primates.
Metabolically Diseased Controls?
A potential rebuttal to this hypothesis is that the effects of CR on disease risk factors, endocrine mediators, and even physiology reported in the CR Society studies are all relative to a control group — and as the WNPRC study shows, the control group may be skewed. The most prominent of the reports on the CR Society members(92,93) have compared the CR practitioners to subjects leading typical Western lifestyles. While these control subjects were matched to CR Society members for age and gender, and while they were free of cigarette use, evidence of chronic disease, or use of medications expected to affect the outcome variables — still, the principal controls in these studies were sedentary (regular exercise <1h/week), slightly overweight, and with eating habits characterized as “typical American diets.” The CR Society cohort members’ results were also compared with their own pre-CR medical records, which “indicated that the CR group had serum lipid-lipoprotein and BP levels in the usual range for individuals on typical American diets, and similar to those of the comparison group, before they began CR.”(93) By contrast, after several years of practicing Calorie restriction, the CR Society subjects are extremely lean, consume very little sodium or saturated fat, and “consume a balance of foods that supply more than 100% of the Recommended Daily Intake (RDI) for all of the essential nutrients, while minimizing energy content (1,112-1,958 kcal/day). They eat a wide variety of vegetables, fruits, nuts, dairy products, egg whites, wheat and soy proteins, and meat … [and] strictly avoid processed foods containing trans fatty acids … refined carbohydrates, desserts, snacks, and soft drinks.”(93)
It is therefore important to ask whether the the lower cardiovascular and diabetes risk profile reported of CR Society members might represent nothing more than the the normalization of the deranged metabolism that is induced by the unhealthy lifestyles typical of the modern industrialized world. The “diminishing returns” hypothesis would predict that similar benefits could be reaped from the much less austere lifestyle goals promulgated by major public health agencies, and with no implications for intervention in the degenerative aging process per se. The available evidence, however, seems to refute this interpretation.
The Returns Are Not Diminishing
There is substantial evidence to show that the effects of CR on the CR Society subjects are far more profound than those attributable to a healthy diet and body composition as judged in conventional terms. In the CALERIE controlled trials, moderately overweight subjects undertook reductions in energy intake or increases in exercise, singly or in combination, aimed at achieving 15-30% energy deficits. This weight-normalizing energy restriction resulted in a 10% loss of body weight, including a 24% loss of fat mass and a 27% reduction in of abdominal visceral adipose tissue.(226) While this healthy loss of total and visceral adipose tissue led to statistically and clinically significant reductions in numerous cardiovascular risk factors, those reductions were modest in magnitude as compared with the profound reductions in risk profile achieved in Biosphere 2 or by CR Society members;((90; see especially their Table 2) and were also less extensive in terms of the range of changes elicited (vide infra).
Additionally, several of the reports from Fontana and Holloszy group directly compare compare CR Society members to long-term (21±11 y) endurance runners (average distance run: 48 miles/wk; range, 20–90 miles/wk), matched by age, gender, and percent body fat with the CR Society study cohort, but still eating a typical American diet (with additional energy to compensate for high expenditure).(87-91) While much of the comparative data on cardiovascular risk profiles between the CR Society group and these athletes remain to be published, data presented by Fontana at the Second Calorie Restriction Society Conference(133) and elsewhere show that while the exercisers are at substantially lower risk than the Western lifestyle control subjects, their risk profiles are yet not as good as CR Society members, particularly as regards blood pressure and markers of inflammation.
One substantial caveat to this characterization is in postchallenge glycemia. While CR Society subjects’ fasting insulin and blood glucose, as well as insulin sensitivity as assessed by homeostatic model assessment and the Matsuda index, are as good or better than the runners, still a subgroup of them exhibit evidence of glucose intolerance on oral glucose tolerance test.(91) But while concerning as judged by conventional risk factor criteria, this apparent deviation from a low-risk profile may in fact be the exception that proves the rule: the subset with the apparent glucose intolerance were also the leanest and exhibited the most “CR-like” endocrinological profile — and the combination of low fasting glycemia with postchallenge hyperglycemia is consistent with findings in CR animals,(108,123) and has provocative if inexact echoes in other models of retarded aging with mechanisms likely involved with the anti-aging effects of CR.(124-130)
As already summarized, in addition to its superior effects on risk factors for cardiovascular disease and diabetes, the rigorous CR practiced by the CR Society members also induces a shift into an endocrinological profile similar to that observed in rodents undergoing anti-aging CR, including reductions in serum IGF-1, T3, and testosterone levels. These effects were greater in magnitude and broader-ranging in their extent than those resulting from moderate healthy lifestyle modifications. The marathon runners used as comparators in Fontana and Holloszy’s studies exhibited none of these changes: their serum IGF-1, T3, and testosterone levels were similar to those of the Western diet controls.(88,89) In the CALERIE studies, reductions in energy intake and/or increases in exercise sufficient to help moderately overweight subjects achieve normal-range BMIs did lower serum T3 relative to their baseline values, but even after modest weight loss, serum T3 levels in CALERIE’s CR (130±7 ng/dL), CR+exercise (120±6), and weight maintenance following very-low-Calorie-diet (133±6) groups remained substantially higher than those observed in CR Society subjects(73.6±22).(91,144) Similarly, the modest, weight-normalizing CR in CALERIE did not reduce serum IGF-1 levels; in fact, serum IGF-1 was elevated by both CR+exercise and by weight maintenance following very-low-Calorie-diet.(145) (It should be remembered, however, that even in CR Society subjects, reductions in IGF-1 were only seen when dietary protein intake did not substantially exceed requirement levels.(59,89)) The effects of CALERIE’s weight-normalizing CR on sex hormones do not appear to have been reported.
Additional reports from Fontana and Holloszy(59,131-133) have documented that long-term (4.4±2.8 years on diet; mean age, 53.1±11 y) raw-food vegans exhibit some of the same metabolic changes as the CR Society cohort. Although not intentionally restricting Calorie intake, these subjects were similar to the CR Society cohort in having low average energy intake (1989± 556 Cal/d) due to the extensive food restrictions in the diet (no animal products, as well as minimal processing (avoidance of cooking, and of hydrogenated oils, refined flour, added sugars, and industrial “processed foods” generally)) and the associated high structural fiber and ensuing bulk of the diet. Moreover, the energy availability of such diets is lower than what would be expected from their nominal Caloric content, as cooking increases the net energy value of foods.(134,135) Consistent with their state of de facto moderate Calorie restriction, Fontana and Holloszy’s raw-food vegan subjects (and similar study populations (eg. (136)) exhibit many of the cardiometabolic (and, as regards IGF-1,(132), endocrinological) features of subjects in the CR Society cohort, with values nominally intermediate (though often not significantly differing from one or the other or both) between those of the CR volunteers and the anthropometrically-matched runners.(133)¶
Doubtless, many features of the diets of both the CR Society subjects and the de facto restricted raw-food vegans other than their low energy availability will also tend to support a lower risk profile, such as the high content of vegetable protein, soluble fiber, and potassium. However, comparison of the risk profiles of the CR Society subjects and the raw-food vegans to those achieved with dietary interventions involving many of the same foods and nutrients (and, in some cases, moderate weight loss)(eg. (137-140)) strongly suggest that the improvements in cardiometabolic health that result from sharply reduced energy intake are substantially wider in scope and greater in magnitude than can be accounted for through qualitative changes in diet alone.
Moreover, while Fontana and Holloszy highlight several healthful components of the raw-food vegan diet as compared to the typical Western diets consumed by the runners and sedentary American controls, it is likely that other aspects of there very restricted diets are deleterious to health. CR Society members use nutritional software to ensure adequate intake of all essential nutrients, but these raw-food vegans did not, and while there is very little information in the reports on micronutrient levels in this cohort, studies in other raw-food and other vegan populations have reported relatively high rates of deficiency in vitamin D, iodine, and iron,(136,141) and extremely prevalent deficiency of vitamin B12.(142) Neither B12 status nor serum homocysteine levels have been reported for Fontana and Holloszy’s vegan cohort, but in a recent double-blind, placebo-controlled trial, 12 weeks of vitamin B12 supplementation in long-term community-dwelling vegans not only lowered what were at baseline elevated levels of serum homocysteine, but increased brachial artery flow-mediated vasodilation and reduced carotid IMT.(143) Thus, the potential impact of energy reduction per se in reducing cardiometabolic risk in this population may have been limited as well as enhanced by the inclusion or exclusion of specific foods and nutrients in the diet.
From “Diminishing Returns” to “Dose-Response”
As reviewed above, a “diminishing returns” phenomenon seems to emerge from setting the findings of the two nonhuman primate studies against each other. Yet it seems clear that the effects of very rigorous CR in the CR Society volunteers — on cardiometabolic health, and on the endocrinological markers and putative mediators of CR — are substantially greater than those that flow from adherence to widely-accepted public health goals for weight, exercise, and diet. In fact, CR Society subjects not only enjoy further improvements in risk factors experienced to a lesser degree in the CALERIE subjects and other healthy lifestyle interventions, but also exhibit benefits that are unique to (or highly distinctive) of them — as opposite to a pattern of “diminishing returns” as could be. What are we to make of this apparent contrast for between the human and nonhuman primate studies for the human translatability of the rodent CR phenomenon?
As an alternative to the “diminishing returns” hypothesis, one might rather posit a more complex interpretation of the nonhuman primate data, based on a more extended (and possibly nonlinear) dose-response curve for energy intake and the degenerative aging process. In this interpretation, as in the “diminishing returns” model, the health and longevity gains enjoyed by the “CR” group in the WNPRC study relative to their overfed, high-sucrose-diet controls would be the equivalent to those that would result from achieving lifestyle goals advocated by major public health agencies in high- and middle-income nations: prevention of excessive adiposity, and avoidance of excessive dietary sugars. But rather than representing a true plateau in the long-term gains to be reaped from further reductions in energy intake, the AL and the CR cohorts in the NIA study would in this alternative interpretation be equivalent to persons situated along a relatively narrow continuum within the normal range of persons who had achieved such goals. In other words, the “dose” of CR in the NIA study relative to their healthy controls was simply insufficient to elicit a noticeable differential effect on the rate of aging changes and lifespan: not that there was no such effect, but that the spread between the two groups’ energy intakes was insufficiently large generate a signal strong enough to be detected within the parameters of the study.
Both the “diminishing returns” and the “dose-response” hypothesis posit that the differences between the AL and “CR” cohorts at WNPRC were the result of prevention of overweight in the “CR” cohort, along with a potentially metabolically-toxic dose of fructose from the high-sucrose chow. Therefore, the question of which hypothesis is more consistent with the overall body of research centers on a close examination of the data from the NIA study.
The degree of restriction nominally imposed on young-onset males,(23.6%) old-onset males,(25.9) and young-onset females (22.3%) relative to nonobese controls in the NIA study would have been entirely sufficient to effect an increase in mean and maximum lifespan in laboratory rodents. But even in the NIA study, as to a greater degree at WNPRC,(64) the ad libitum controls may have been somewhat overfed from the outset, as 7-12% of their daily food allotment was left uneaten early in the experiment.(62) While this was partially compensated for in the early years of the study, the energy intakes of the CR and AL groups progressively converged throughout the remainder of the animals’ lifespan, because despite the fact that the AL animals’ energy needs and intake declined with age, “food allotments were held constant [in the CR animals] other than as needed on a case-by-case basis when warranted by greater than acceptable changes in body weight”.(147) As a result, “Although 30% restriction was [nominally] imposed on the monkeys, CR males were eating only 20% less than CON at 26 years of age, and CR females 12% less than age-matched CON [my emphasis]”.(147) While similar spontaneous reductions in energy intake by aging AL cohorts also occur in successful rodent CR studies, and while these also result in partial convergences in energy between the CR and control animals, the magnitude of the effect is smaller and occurs later in the lifespan; moreover, in well-designed rodent studies, they are not preceded by the early oversupply of energy that occurred in the NIA CR primates. Thus, both the percentage of the lifespan during which a gap in energy intake was present, and the maximal degree of energy imposed, were significantly less in the NIA primate study than is typical of life-extending rodent CR studies.
Consistent with the modest magnitude and inconsistent course of CR imposed on the NIA cohorts, the effects of CR on the NIA primates’ body masses and composition were also modest, as judged relative to both their AL controls and to historical comparators. Body weights of both CR (9.7 kg) and AL (13 kg) animals at NIA ((6), Supplementary Information) were higher than those reported for wild-caught male rhesus macaques at more central latitudes (7.7 kg), though weights at more northernly latitudes (12.48 kg for two males at 30° to 35°N) were similar to the AL animals at NIA.(174) Perhaps more importantly (in terms of cardiometabolic health), the percent body fat in adult-onset CR males did not significantly differ from their controls after the first 5 years of restriction, during the period when the difference in energy intakes between CR and AL monkeys was at its maximum; in fact, the CR animals were nominally more adipose in their anthropometric distribution than the control animals.(172) By the 11 year mark, CR animals at NIA had achieved lower body fat percentages (12%) than controls (18%),(173) but the range was relatively narrow. While the comparison is necessarily by analogy rather than quantitative, it may merit observing that the spread in body fat between the CR (12%) and AL (18%) NIA primates is similar to the lower and upper bounds of what is considered normative for fit adult male humans,(175,176) whereas male CR Society volunteers exhibit substantially lower body fat (7.0±5.0%) — similar to the endurance exercise cohort (8.4±6.0%) and far below that of Western diet controls (25.2±8.4).(89) Extending the analogy, these last are (nominally) similar to or leaner than the AL controls in the WNPRC study (29.6% BF).(104)
The “Hunger Hypothesis”
An additional possible indicator of whether the “dose” of energy restriction in the NIA study was sufficient to initiate and sustain a shift into a slow-aging metabolic state is their degree of behaviorally-manifested hunger. An elevated motivation for food is a persistent feature of life-extending CR in rodents: even at a relatively moderate 20% CR, which is what was nominally achieved in the NIA primates, mice continue to evince hunger for at least 50 d after the initial period of net energy deficit and weight loss has ended and energy balance has been re-established at a new, lower, but stable body weight.(155) At this point, the animals have been on CR for over a third of their maximum lifespan, and yet there is no evidence of a diminution of hunger with increasing duration of CR. By contrast, a food-retrieval study(147) found that the CR monkeys in the NIA study were no more motivated than age-matched controls to retrieve food, suggesting that they were not experiencing significant hunger, despite being ostensibly more restricted than the mice in the previously-described report. The apparent lack of hunger in the NIA CR primates is consistent with both the evidence that the rations provided to the AL animals were in excess of their appetites, and especially with the gradual convergence of energy intakes between the two groups over time.(147)
Importantly, the apparent lack of hunger in the CR primates at NIA may be more than just a symptom suggestive of insufficient energy restriction: it may be behavioral evidence of absent neuroendocrine mediators of important health and longevity outcomes in CR. Most theoretical understandings of the mechanisms underlying the age-retarding effects of CR in rodents posit or imply the existence of central and/or cellular energy servomechanism(s) that, in response to chronic low energy availability, initiate systemic adaptations that shift the organism into a new, slower-aging metabolic regime. It is intuitive to hypothesize that this energy rheostat would be intimately associated with, or identical to, the neuroendocrine drivers of food-seeking behavior and the correlates of the subjective sense of hunger and satiety. If this is so, then the failure of the CR protocol at NIA to motivate food-seeking in the CR primates may not only suggest that the level of restriction to which they were subjected was minimal: it may be the behavioral manifestation of the absence of the very neuroendocrine signals that mediate the age-retarding effects of CR.
A strong candidate for such a central energy-sensitive rheostat is the hypothalamic arcuate nucleus (ARC), which integrates signaling from gut peptides, classical hormones, and peripheral nervous satiety stimuli involved in sensing and regulating energy balance, and which in turn hierarchically regulates multiple central and peripheral responses to maintain and restore energetic homeostasis.(148) In particular, there is significant evidence that the potent ARC orexigen neuropeptide Y may be one key effector in establishing and maintaining the age-retarding metabolic regimen of CR. Hypothalamic NPY gene expression is not only acutely elevated by fasting, but remains elevated through several months of chronic CR;(155,156,177) this characteristic distinguishes NPY from several other hormones and neuropeptides involved in energy homeostasis, whose serum levels or gene expression return to baseline with extended low energy intake. The persistent elevation of NPY in animals under CR is consistent with the behavioral evidence of enduring hunger in such animals; additionally, it satisfies the theoretical requirement that a mediator of the “anti-aging” response of CR should persist throughout the period of energy restriction, since the extension of lifespan resulting from CR is proportional to its duration.(65,67)
And experimental support for a direct role for NPY (and likely other central neuroendocrine correlates of hunger) in mediating the age-retarding effects of CR has recently come from two striking reports.(149,150) The first study showed that either chemical lesioning of the arcuate nucleus or specific NPY gene knockout nearly abrogate the ability of CR in wild-type, unlesioned mice to protect against skin cancer in a two-stage skin carcinogenesis model.(149) The second study(150) was an analysis of the pooled results of extended 2 y carcinogenicity studies for the appetite-suppressing drug sibutramine, a dual serotonin-norepinephrine reuptake inhibitor that inhibits food intake via stimulation of 5-HT2A/2C serotonergic receptors, thereby lowering the levels(151,152) and possibly blocking the activity(153,154) of NPY. In this study, 520-animal cohorts of Sprague-Dawley CD rats and CD-1 mice were allocated to control diet, or to one of three doses of sibutramine, for over 2 y — a sample size and study duration calculated to have 91% power to detect a 10% decrease in mortality in treated animals within each species. Sibutyramine reduced ad libitum food intake and body weight in these animals by ~10% — an amount sufficient to extend lifespan when energy intake is reduced by imposition of CR (eg. (44), and see (67)). Despite this, and with the dubious exception of male rats on the medium dose, there was no evidence of an effect of the drug on survivorship. This reduction of energy intake arising from the blunting of the neurological correlates of hunger is consistent with the “hunger hypothesis” that the extension of life that accompanies reductions in food intake with CR is mediated by these energy-sensing systems.(150)
Additionally, there is evidence that some of the neuroprotective effects of CR are mediated by elevations in ghrelin,(244,245) an orexigenic hormone secreted by the stomach and duodenum involved in both the acute mealtime hunger and long-term regulation of food-seeking behavior.
Even if the investigators of the NIA primate CR study wished to monitor hypothalamic NPY gene expression or peptide levels, the very small number of animals in the study would have prohibited the necessary sacrifices of the animals; and we have no data even on serum levels. But, again, the lack of an increase in motivation to work for food is suggestive that the level of CR to which the NIA primates were subjected was not sufficient to significantly upregulate this key orexigenic neuropeptide. A failure to elicit an elevation in NPY in these animals would also be consistent with the relatively modest effects of CR at NIA on hormones that are strongly regulated by NPY and hypothalamic energy sensing, such as reproductive hormones(162-166) and T3.(167-168) Similarly, there is evidence that elevated NPY is central to CR-induced reductions in blood pressure,(169-171) and whereas the reductions in BP were profound in the CR Society cohort,(93) they were modest and inconsistent in the NIA CR primates(158). Similarly, a lack of significant CR-induced hunger would at least imply that ghrelin levels were not differentially elevated in the NIA CR animals, although there have been no reports on the effects of CR on ghrelin levels from either nonhuman primate CR study.
A Signal — and an Echo?
As we have seen, the CR animals at NIA were subject to a level of restriction that was uncertain early in the study, relatively modest at its peak, and progressively declined over the remainder of the study — all relative to controls that were apparently moderately overfed to begin with. The CR monkeys lost relatively little body fat, and evinced little hunger — a hunger whose neuroendocrine correlates may be central to triggering many of the health-preserving, life-extending effects of CR. Additionally, as we reviewed earlier, many of the metabolic and endocrine changes that are important hallmarks (and likely mediators) of life-extending CR in rodents were moved only modestly or inconsistently elicited by the CR protocol at NIA. All of this is consistent with the hypothesis that the lack of extension in lifespan observed in the NIA CR primates may have been that the “dose” of CR administered to them may simply have been insufficient to shift the animals into an age-retarding CR metabolic state. Non-exclusively, the “dose” of CR may have been insufficient for an effect on the rate of aging to lead to a detectable increase in lifespan, granted the statistical noise necessarily present in a study involving small subgroups of highly genetically-heterogeneous animals with unknown and inconsistent husbandry prior to the onset of CR.
And the NIA data are, in fact, consistent with the idea that the mild and inconsistent CR in the NIA study did lead to a proportionately mild effect on degenerative aging in these animals. As already reviewed, CR at NIA delayed the age of onset of first age-related disease (Figure 4). And while most of the disease-specific differences did not achieve statistical significance, CR animals seem to have enjoyed lower incidence of diabetes (3.5%, vs 8% in AL), cardiovascular pathology (5.2% vs. 7.8%), and neoplastic disease (12.3% vs. 18.8%), with no cases of cancer in young-onset CR animals, in whom CR would have had far more time time to act against initiation, promotion, and progression of cancer during the long latency of the disease.
It is also notable that even the modest changes in metabolic factors observed in the NIA CR cohort seem to have predicted favorable outcomes on (median) lifespan on one axis: the discrepant effects of CR between the genders. At the beginning of the study, the relative degree of restriction of Calorie intake from ad libitum intake was similar in the two genders (23.6% for young-onset males, 25.9% for old-onset males, and 22.3% for young-onset females ((6), Supplementary Information)), but the differential in energy intake declined much more dramatically in females (to 12% less than age-matched AL animals) than in males (to 20% less than AL) by 26 years of age.(147) The greater and more consistent degree of de facto restriction in the males was paralleled by the stronger effect of diet on weight: loss of 21.4% (young-onset) to 25% (old-onset) in males, vs. 11% in females.
The greater degree of restriction in the males was paralleled by stronger metabolic response: the CR males had a suggestion (vs. none in the females) of a reduction in cholesterol, and more consistent reductions in triglycerides and fasting blood glucose ((6), Figure 2, et passim). And it is not just that the improvement of cardiometabolic risk profile by CR was greater in the males: even male AL animals seem to have had more favorable serum cholesterol, glucose, and triglycerides than their female counterparts, again consistent with the possibility of a greater tendency to overestimation of energy requirements in the females.
In association with greater apparent restriction and more “CR-like” metabolic state (the latter, even in the ad libitum group), the males lived considerably longer lives than the females as a group, and uniquely exceeded the life expectancy of previous rhesus monkey cohorts: “Although CR has not increased mean or maximum lifespan relative to control, 50% survival for the females is 27.8 years and 35.4 years for the males, exceeding the 27 year median lifespan previously reported for monkeys in captivity.[my emphasis]”(6) As noted previously, this 8-year improvement over historical median lifespans for males, versus little if any improvement over historical controls in females, is a striking reversal of the five (98) to eight(146) year survival advantage that female rhesus monkeys normally enjoy.
The study authors note that
Considering that just less than 50% of young monkeys are still alive, these data do not represent final lifespan curves in this study. On the basis of lifespan projections using the hazard function, most animals are projected to be dead 10 years from now and the estimated probability statistics indicates a likelihood of less than 0.1% chance that the overall survival outcome would favour the CR group. The probability that a significantly different effect on mmean survival will emerge in the next 5–10 years of the study is very low; however, a potential effect on maximum lifespan can not be ruled out.(6)
Still, it is reasonable to think that the reduced risk of several diseases of aging, and the >22% greater median longevity of the NIA males relative to the historical record for animals of the same species, may reflect an underlying signal of an effect of energy intake on the rate of aging, not sufficiently explained by the direct effects of the very modest changes in risk factors for specific diseases. And while there has not yet been an effect of CR on maximum lifespan, the study is not yet complete, with nearly half of the young-onset monkeys still alive and with >25% of the lifespan of the old-onset animals ahead of them; already, “four CR monkeys and one control from the old-onset group have lived beyond 40 years,”(6) hinting perhaps at a trend toward an increase in maximum lifespan associated with even this mild, inconsistent CR.
Lost in Translation?
Of course, the modest and/or inconsistent effects of CR on these parameters might alternatively be taken as a sign that the requisite shift in metabolic state cannot be elicited in primates at any level of CR. Such an interpretation would be consistent with the “diminishing returns” hypothesis. However, the fact that humans undertaking rigorous long-term CR strongly exhibit many of the metabolic signatures of CR that were weakly or inconsistently elicited in the NIA CR animals(56,86-93) gives us reason to think otherwise — particularly since, as noted previously (“Returns Are Not Diminishing“), the changes in metabolic hallmarks of CR and disease risk factors observed in the CR Society volunteers are either present to a much smaller degree in persons undergoing more moderate reductions in energy intake, or are absent altogether (59,89,90,91,144)
It bears keeping in mind that neither favorable modulation of disease risk factors nor endocrinological shifts consistent with those observed in rodents undergoing life-extending CR are reliable evidence that even the most rigorous CR in humans will lead to a significant delay of age-related disease, or an extension of lifespan beyond that expected from living a conventionally healthy lifestyle, or any of the effects of CR in rodents that are not predicted to acrue to humans by the theoreticians that have argued against the human translatability of CR.(80-83,249) Only a lifelong trial of strictly-monitored CR can decisively answer this question, and such a trial is impracticable. It was exactly to give help to bridge the evidential gap on translatability that CR studies in a closely-related primate species were initiated at WNPRC and NIA.
In retrospect, it seems clear that to provide a proper test of the matter, a significantly greater “dose” of CR was necessary even at NIA. Rather than being determined based on theoretical energy requirements calculated from animal ages and body weights (as at NIA), or derived from literally ad libitum baseline consumption of a highly-palatable sucrose-rich chow (as at WNPRC), a true test of the translatability of CR would have titrated energy intakes to a level sufficient to elicit the same cardiometabolic, glucoregulatory, and endocrinological profile seen in rodents and humans undergoing rigorous CR, thereby generating as close a metabolic bridge as possible between the species. If no level of CR is able to consistently elicit changes in magnitude and in kind consistent with those seen in rodents and humans alike, it would merely argue against the suitability of Macaca mulatta as a translational model, rather than against the translatability of CR. But if such a dose could indeed be determined and imposed, it would have given a very strong sign of whether metabolically-evident CR would indeed retard aging in humans as it does in rodents and other species, or be a futile struggle with an energetic Zeno’s Paradox.
Natural and Intentional Human CR-Longevity Experiments
Absent the gold-standard nonhuman primate study, or a controlled trial in our own species, it bears briefly reviewing important lines of evidence on the effects of CR per se (as opposed to the problematic use of BMI as a surrogate) on mortality in humans.
The Vallejo Nursing Home Study
In what is thought to be the only controlled trial to report mortality rates in normal-weight individuals undergoing a Calorie-restricted diet, Vallejo assigned 120 nonobese residents of an elder care home to either a control diet of 2300 Calories (as estimated by Stunkard(179)) or an intervention in which days on this diet were alternated with an 885 Calorie(179) diet of fruit and milk, for an average of 1593 Cal/d for 3 y. In that time period, the control group spent a total of 219 days in the infirmary, and 13 deaths occurred, while the corresponding figures in the CR group were 123 days (p<0.001 vs controls, as calculated by Stunkard(179)) and 6 deaths (p<0.2) respectively. These results are all the more striking when one considers (a) the reasonable expectation that an elderly, presumably frail study cohort might have adapted poorly to CR (as is seen under suboptimal conditions in older rodent populations (53,65)); (b) the related issues of the abrupt onset and likely suboptimal nutritional quality of the diet (identified as key factors in the failures of early attempts at adult-onset CR in mice (49,53,65)); and (c) the progressive reduction in absolute(65) and possibly even relative(181) lifespan to be gained from CR when initiated at progressively later ages in rodents.
Weight Loss in Obesity
Two additional studies were also controlled human trials of reduced energy intake in the elderly, with the important difference that they were carried out in overweight and obese rather than normal-weight individuals.(183,184) The ADAPT trial randomized 318 older (69±6 y), mostly (72%) female subjects (BMI 34±5 kg/m2) with osteoarthritis of the knee to either a control group; to weight loss achieved by reduced energy intake; to exercise; or to weight loss plus exercise. During an average 8.0 y followup, the mortality rate of those assigned to a weight loss group was half (hazard ratio 0.5, 95% CI 0.3-1.0) of that in the control group, independent of age, gender, baseline weight, or magnitude of weight loss.(183) The effect was strengthened after stratification for subjects with > 2 y of followup, and was strongest in persons with above-median baseline BMI; perhaps surprisingly, the effect was apparently stronger in subjects older than the median age. Also surprisingly, there was no mortality benefit to exercise in this trial. As the authors remarked, this study was notable for being “the first to report on the effect of intentional weight loss on total mortality, utilizing a randomized controlled study design.”(183)
On the other hand, the TONE trial by the same group(184) found that neither a similar degree of diet-induced weight loss as achieved in ADAPT (~4.5-5 kg at measured time points in both trials) nor sodium restriction had a significant effect on mortality rate in a similar population (585 overweight or obese older persons (66±4 y, 53% female, BMI 31.1±2.3) undergoing treatment for hypertension.(184)) There did appear to be a substantial reduction in mortality rates in men restricting energy intake (HR=0.52, 95% CI 0.30-0.91; P for sex × intervention interaction = 0.006), but no significant benefit and a suggestion of harm in women (HR=1.47, 95% CI 0.82-2.65). Any such gender-specific effect, if real, would be inconsistent with the lack of modification by gender in ADAPT.
Related data come from controlled trials (eg. (185,186)), patient registry studies (eg. (187,188)), and less rigorous designs (189,190) showing lower total,(185,189,190) cardiovascular,(186) and cancer(187) mortality in highly obese subjects undergoing “Roux-en-Y” gastric bypass surgery (although not all studies agree(188)). The apparent reduction in mortality in most contemporary studies is the more remarkable for the inherent risks of the surgical procedure itself, which are magnified in obese subjects.(191)
Economic Recessions
An additional, inherently weak line of evidence, but perhaps capturing some data from normal-weight individuals, is the counterintuitive finding in numerous studies that total mortality rates seem to fall during major economic recessions.(191-198) While deaths from suicide rise, mortality from circulatory diseases and diabetes fall (as one might reasonably expect), with inconsistent effects on different infections and (in South Korea) a reduction in stomach cancer mortality.(196)Such results are perhaps less surprising in otherwise-prosperous countries in the late twentieth century,(191,194-197) but are much more surprising in settings like post-Soviet Eastern Europe,(192) contemporary Cuba (where an associated reduction in food intake and body weight was also documented),(193) and the United States itself during the Great Depression.(192)
Longevity Hotspots I: Okinawa
Finally, there are the “longevity hotspots” associated with very low Calorie intake: most famously Okinawa, Japan, but also Sicily’s Sicani Mountain zone. Even within Japan, a country with world-leading life expectancy, Okinawa enjoys the highest life expectancy, and an exceptionally high incidence of centenarians. Unpublished data from the Okinawan Centenarian Study (summarized in (199)) indicate that “50th percentile survival and maximum lifespan (measured as 99th percentile survival) in the Okinawan, Japanese and U.S. populations were 83.8 and 104.9 years, 82.3 and 101.1 years, and 78.9 and 101.3 years, respectively”. The difference is more remarkable when comparing the incidence of centenarians per 100 000 population over the age of 65 (greatly reducing confounding by infant, childhood, and wartime mortality): these figures in 1977 were 37 in Okinawa, vs. ≤ 9.9 in most prefectures and ≤ 1.9 in Japan’s north.(200) Okinawans also enjoy markedly reduced incidence of numerous age-related diseases relative to the rest of Japan.(200-203)
As with other studied centenarians,(eg. (204-207) there is evidence for a genetic factor in the extreme longevity in Okinawa,(208); however, there is also evidence for a potent environmental influence. The incidence of centenarians in Okinawan expatriate communities is far lower, and the rate of age-related morbidity higher, than that on the island itself,(eg. (201,203,209)) and the health and life expectancy of generations of Okinawans born during and after the period of rapid postwar Westernization have progressively declined (200,210,211) and have “fallen sharply relative to other prefectures of Japan.”(210) The apparent involvement of lifestyle factors in the exceptional longevity of past generations of Okinawans also contrasts with several other cohorts exhibiting familial longevity, whose members have often been found to have unexceptional lifestyles typical of their birth cohort.(216,217)
While the traditional Okinawan lifestyle is healthy in many respects,(200,202,209,211) the only biologically plausible environmental candidate which has been advanced to explain the remarkable health and longevity of the prewar birth cohorts is that it is the result of a natural experiment in CR. Okinawa is a striking exception to the general finding that life expectancy follows social gradient: paradoxically, it has historically been at once the most longevous and the most socioeconomically disadvantaged prefecture in Japan.(212) With poverty during the late-nineteenth through the mid-twentieth century came constraints on energy intake,(200,211-215) and although the dietary quality was much better than that of other impoverished populations, the birth cohort of recent centenarians suffered a high prevalence of mildly-symptomatic deficiencies of some essential micronutrients (especially vitamins B12 and D (the latter being uncompensated by sun exposure, as evidenced by signs of early rickets in the present centenarian cohort)).(211) The BMI and height of the birth cohorts from which recent Okinawan centenarians are derived are quite low (211), and medical examinations conducted in adult female Okinawans in 1949 revealed a high prevalence of delayed menarche (9.4%) in young women and deficient lactation (17.8%) in recent mothers, both indicative of limited energy availability and/or body fat.(211) (Note, again, that no such effects resulted from the modest CR imposed on the female NIA primates(119)).
While some initial reports have suggested that the degree of CR in Okinawa varied from the moderate(200) to quite severe,(213) these studies were based on single time-point analyses in the 1960s, and give no insight into the previous, lifelong dietary economies of the cohort from which the Okinawan centenarians had emerged, nor on the subsequent secular trend toward rising energy intake and dietary quality with the postwar rise in living standards. A more recent and rigorous study, making use of detailed surveys of the Okinawan diet conducted in 1949 and approximately once per decade thereafter until 1998,(211) suggests that the Okinawans’ energy intake may have been as little as 11% restricted for much of the period up until the 1960s (although this is confounded by the uncertainty of the causal relationship between their short stature, maintenance energy needs, and restrictions on their original growth), and increased to positive energy balance and intakes typical of similar mainland Japanese by 1972 ((211); and contrast cross-sectional data from earlier (214) vs. later (215) datasets).
Thus, any longevity effect of CR in the Okinawan centenarians of today and of recent decades is the result of a mostly moderate level of restriction, limited to only approximately half of the lifespan, contrary to the working assumptions of some skeptics of CR’s human translatability, who have based their models on the assumption of a severe and lifelong CR in Okinawa.(83) Along with the relatively mild but widespread prevalence of micronutrient deficiencies, these limitations make the Okinawan longevity phenomenon yet more impressive.
Longevity Hotspots II: Sicani Mountains, Sicily
Although far less well-known, and while the connection with CR is less documented, a similar case appears to exist in villages in Sicily’s Sicani Mountains, where there are 15.0 centenarians per 10,000 population, vs. 2.4 in Italy as a whole.(227) The population of centenarians is remarkable for the relatively high proportion of males. In the thirteen industrialized countries with the most reliable records in the Odense Universitet Aging Research Center database, the female:male centenarian ratio averaged over 4,(228) and in Italy as a whole it is recorded at 4.54,(227) yet in the Sicani centenarian villages, it is reported as being between 1.5(227) and as low as 1.1.(229) “Since Sicilian population genetics structure is very homogeneous and in Hardy-Weinberg equilibrium, the explanation for these data probably resides in the environmental characteristics of the study sample.”(229)
As in Okinawa, the Sicani village centenarians seem to be in exceptional health compared to typical persons younger than they, being free of evident age-related diseases, in good reported health, free of dementia, with good liver and renal function, clinical chemistry similar to persons several decades younger, and the ability to live moderately independent lifestyles based on instrumental and total activities of daily living scores. Poor auditory and visual acuity seem to have been the most prominent age-related health impairment.(227)
The Sicani villager centenarians have a diet consistent with the best of the original Mediterranean diet, with “small amounts of food divided among three meals, which were composed of small amounts of carbohydrates and meat and profuse consumption of seasonal fruits and vegetables (including beans and table olives) dressed with olive oil” and a “high preference of seasonal plant food and vegetables, including the different kinds of beans, with lower consumption of animal products … [and] poor in refined carbohydrate (no white bread, low amount of pasta, no sweet beverages, no canned food, no frozen prepared vegetables or dishes, very few cookies or cakes, no snacks).”(227)
The principal investigator of the Sicari Mountain centenarian phenomenon is “convinced that this form of caloric restriction, that is a Mediterranean diet with low protein intake not associated by micronutrients or oligonutrient defiicency,[sic] has a key role in longevity” in this population.(238) Several aspects of these centenarians’ lives suggest that they may owe their exceptional longevity to some form of Calorie restriction. Current Mini Nutritional Assessments (MNA) find them to be consuming only 1200 Cal/d,(230) which is low even granted the general reduction in food intake in the elderly, and while their present BMI is normal (23.6 ± 3.1), their short stature (155.9 ± 7.8 cm) is “suggestive of some degree of calorie restriction.”(229) particularly during their childhood and adolescet growth years, when food availability in the area was known to be limited. This can be traced back to the historical background of current and recent Sicani Mountain centenarian villagers, much of which (and, as in Okinawa, especially their early and midlife) was lived in a long period (circa 1880-1960) of chronic food shortage in Sicily, due to a mixture of environmental and domestic political factors,(231) beginning with the long agricultural depression of 1879-96 but also including extended food shortages induced by the Allied invasion from 1943-44.(232) An especially dark side of the potential involvement of food shortages in the historical circumstances leading to the Sicani Mountain centenarian phenomenon may have been cultural mediation of their effects one ratio of male to female centenarians: “meat was highly uncommon and in any case put aside for men and children.”(233) These were the conditions that led to the large-scale emigrations of Sicilians to the United States and Brazil during this period.(231) Political and environmental downturns were felt more acutely in the inner parts of the island where the Sicani Mountain centenarians lived, where local agricultural potential and resilience are low due to poverty and difficulty in cultivation of the mountain soil and low precipitation.(238) Yet the diet, although low in Calories, is of high nutritional quality, consistent with a long-established pattern of the kind of high-quality, very low-Calorie eating necessary to retard aging in rodents.
In both the Okinawan and the Sicani Mountain cases, the crudeness of the energy restriction imposed by poverty and social conditions, along with the many threats to life and health faced by today’s centenarians, make the high enrichment of the population with extreme survivors all the more remarkable. If indeed these were natural experiments in human CR, what might have emerged had energy restriction been continuous, and micronutrition fully adequate, and accompanied by better sanitation, medical treatment, and the benefits of higher socioeconomic status?
Of course, that if remains as unresolved as the open-ended, rhetorical question it opens.
(In)Conclusions
In this post, I have sketched out in detail two major possible interpretations of the disparate mortality outcomes in the NIA and WNPRC nonhuman primate CR studies.(5,6) The “Diminishing Returns” hypothesis posits that the health and longevity benefits of “CR” reported in the WNPRC study were merely the unsurprising results of one group of animals being fed a high-sucrose, low-nutrient chow on a literally ad libitum basis, and another group being kept to portions of that diet low enough to avoid the deranged metabolisms flowing from obesity and (possibly) fructose toxicity. In this interpretation, the more severe restrictions of energy intake imposed at the NIA — particularly when the chow to which access was restricted may have been healthier to begin with — led to no further health benefit, because there are none to be gained: the dramatic age-retarding effects of CR observed in laboratory rodents and other species do not translate into longevous species such as primates, and the sole benefit of controlling energy intake is avoidance of overweight and obesity. The “Dose-Response” hypothesis begins from the same interpretation of the WNPRC study, but posits that far from being excessive (or, at best, superfluous) to that required for good health, the additional energy restriction imposed at NIA were too little, and imposed during too narrow a window, to elicit a clear signal in health and lifespan benefits; this is supported by the evidence that the NIA primates were not especially hungry, and only weakly and inconsistently exhibited improvements in risk factors and endocrine signatures of CR that are seen both in life-extending CR in rodents, and in humans under rigorous CR.
Unfortunately, it seems very unlikely that this question will be resolved. Even the narrow question of whether the age-retarding effects of CR in laboratory rodents translate into nonhuman primates could only be established with confidence after yet another trial in nonhuman primates, with more severe and more continuous CR being imposed from a healthy-weight baseline, and preferably with a larger number of animals (for statistical power, and to allow for the risks attendant to more severe CR when the tolerance ranges for rhesus monkeys (or other longevous nonhuman primates) are not yet established). Such a study is extremely unlikely in light of the enormous expense of the first two trials, disappointment (and possibly embarrassment) with the results, the slow growth and possible real-dollar contraction of NIH biomedical research budgets in general, and the ill winds for nonhuman primate research in particular (including the closure of several NIH nonhuman primate research centers and a recommendation from an Institute of Medicine panel to severely curtail chimpanzee research (accepted by NIH, which immediately placed a moratorium on funding of future chimpanzee work and established a Working Group which is in the last stages of issuing guidelines intended to implement the IOM panel recommendations). Some data will likely become available from an ongoing study in the grey mouse lemur (Microcebus murinus)(234-236) and perhaps other shorter-lived nonhuman primates,(237) but whatever their results they will not be as convincing as a relatively longevous species such as Macaca mulatta (or chimpanzees or bonobos), particularly as many of them are significantly less analogous to humans in life history and other potentially-relevant traits.(237)
And even if such a well-designed and well-executed study were initiated: what then? Supposing that support were maintained for the duration of the experiment (rather than falling prey to budgetary constraints or controversy surrounding nonhuman primate research), it would be a further three decades before the earliest point at which survival data could be reported (ie, before the death of all the animals, but at a point when a change in the direction of the observed trends would be highly unlikely statistically). And, of course, even robust nonhuman primate data would only be indirect evidence (albeit a very strong form of it) on the question of whether CR will also work in humans.
The timescales involved in resolving these questions cannot be reconciled with the immediate imperatives that drive us to pose them. With the scale of the humanitarian, economic, and social crisis that looms in the coming decades due to global demographic aging and associated ill-health, the near-term need for effective interventions against the aging process could not be greater.(54,55). On an individual level, the small number of individuals with the motivation, education, and resources sufficient to practice CR with the rigor required to meaningfully protect against degenerative aging processes on the basis of rodent studies must decide — on the basis of highly incomplete and conflicting data — whether the weight of evidence in favor of the translatability of CR, and the magnitude of the likely benefits that would accrue from a degree of CR that they find tolerable, is sufficient to merit either initiation of, or ongoing adherence to, a very long-term, difficult personal experiment. In the face of the uncertain benefits are the daily costs of the intervention — in time, and in CR-related side effects such as reduced body temperature and hunger (both of these being likely subjective indicators of the action of mediators of the overall age-retarding effects of CR (148-150,239,244,245)) — and also the balancing of near-term impairments to some systems (reduced muscle and bone mass, slower wound healing, and possibly increased vulnerability to at least some infections(240-243)) with uncertain translation of the long-term benefits in the maintenance of these and other systems against age-related structural degeneration.
For biomedical gerontology, and for biomedical research more generally, the dilemmas are as great or greater, but with implications that extend far beyond the choices and health outcomes of individual CR practitioners, into the future of medicine and the future health of an aging world. For decades, the almost singular focus of intervention-oriented biogerontologists has been CR mimetics,(4,229,246) and interventions centered around specific pathways within the complex signaling cascades induced by CR.(eg, (231-233)) Even prior to the surprise of the dissonant outcomes of the two nonhuman primate CR studies, and leaving aside the question of CR’s human translatability per se, there were reasons to doubt that this research on CR mimetics could actually lead to effective therapies to prevent the diseases and disabilities of aging in humans. This is because even if CR itself were known with certainty to be effective in nonhuman primates, and even if potential CR mimetics passed successfully through preclinical testing, it is now increasingly recognized(95,233-235) that CR mimetics are intrinsically very difficult agents to test in human clinical trials and to use in clinical practice, and the timing of their emergence is ill-matched to the demographic challenges of an aging world.
By their nature, CR mimetics — like CR itself — are most effective when therapy is initiated early in the lifespan, with absolute efficacy progressively lost the later in life therapy is initiated.(65,67,181) (see Figure 5). And it is reasonable to assume that a pharmaceutical mimetic of CR will be unlikely to be as effective as CR itself, and may possibly come with off-target effects unique to the mimetic itself that will narrow the therapeutic window and perhaps place a ceiling thereon. Indeed, the first partial CR mimetic agent to robustly demonstrate efficacy in rodent models (the immunosuppressant mTOR inhibitor rapamycin), administered to mice at a similar point in the lifespan to the youngest members of today’s postwar “baby boom” cohort (600 d), increased maximal lifespan by 9% in male mice;(248) for comparison, 40% CR, initiated at the same time age in male mice, was reported to increase maximum longevity by ~16%.(49)
This progressive loss of potential therapeutic benefit as subjects age creates a serious dilemma for effective human testing of CR mimetics.(95,234) On the one hand, older subjects seem prima facie to be the appropriate population for testing of such agents, consistent with the usual and well-justified practice of first testing new therapies for efficacy in subjects at high risk of the adverse outcomes against which the therapy is intended to protect. People who have already undergone substantial biological aging are in greatest need of effective interventions against the diseases and disabilities of aging, and it is the very nature of the degenerative aging process that they are at increasing risk of mortality and morbidity from age-related disease the older they become, potentially allowing for rapid efficacy testing. But first administering CR mimetics to older subjects would also bear a high risk of type II errors, due to the intersection of the high baseline burden of aging damage in such patients at trial initiation, their high risk of adverse outcomes, and the progressive attenuation of the absolute benefits of an agent that decelerates aging processes that are already well underway.(95,233-235)
Figure 5. Diminishing Effect of CR on Lifespan at Advanced Ages. From (67), with permission. Data are derived from 24 rodent lifespan studies.
On the other hand, testing CR mimetics at progressively earlier ages would increase the likelihood that a genuine age-retarding effect would manifest itself, by giving a longer period for decelerated aging to detectably separate the absolute or disease-free survival curves between treated and untreated subjects. However, it also proportionately increases the duration and cost of testing (and thus, the delay in making an effective agent available to currently-living aging people), and puts at risk subjects who are progressively healthier and less likely to individually benefit from intervention, and who are progressively more likely to suffer any long-term adverse side-effects whether the agent is effective or not.(95,233-235) And since the effectiveness of CR per se is unlikely to be rigorously tested in humans, a failure (even if artifactual) of first-of-class CR mimetics in clinical trials would make investors reluctant to support research and development of other agents in the same class, just as the current collision of the findings of the two nonhuman primate CR studies has shaken the field.
Even if CR’s age-retarding effects do translate into humans, then, the path toward rapid development of potent therapies to prevent and cure the diseases and disabilities of aging must lie elsewhere. It is increasingly recognized that interventions that do not merely retard the progression of aging changes, but rather reverse their course by removing, repairing, and replacing functional units damaged by degenerative aging, are intrinsically more amenable to rapid testing in people who have already aged substantially, with clearer outcomes and without ethical dilemmas.(95,233-235) The efficacy of such regenerative therapies is also intrinsically greater, particularly with iterative refinement: increasing the effectiveness of an age-retarding intervention by a factor of n merely slows down further the ongoing downward trajectory of age-related degeneration, whereas increasing the effectiveness of regenerative therapies by the same factor further reverses the degenerative process.(247) (Figure 6). Moreover, there are necessary limits to the degree to which CR mimetic interventions can be improved in efficacy, since they necessarily work by modulating metabolic pathways that are essential to life, and cannot be pushed too far in any particular direction without threatening the ability of the organism to maintain homeostasis under normal daily challenges; by contrast, there are no such theoretical limits to approaches based on the repair of damaged cellular and molecular functional units, except inasmuch as repair cannot be improved beyond the point at which all aging damage has been eradicated from the body and the pristine cellular and molecular order of the body has exceeded even that typical of healthy young adults.
Figure 6. Iterative Improvement of Age-Retarding vs. Regenerative Therapies Against Age-Related Decline in Functional Reserve. From (247), with permission. All interventions initiated at middle age (indicated by vertical dotted line). Blue line gives the trajectory of the effects of a therapy (such as a CR mimetic) that reduces the rate of loss of functional units by 50%, beginning at onset of therapy. Green line reflects the same therapy, but with iterative improvements that double its efficacy every 7 years, decreasing by a further 50% the rate of age-related degeneration. Pink line reflects a therapy that reduces by 50% the pre-existing burden of damage at onset of therapy, with repeated rounds of administration every 20 years. Orange line reflects such a therapy with iterative improvements every 20 years that allow it to remove a further 50% of aging damage than was possible with the previous iteration.
Over a decade ago, SENS Research Foundation Chief Science Officer Dr. Aubrey de Grey and colleagues first proposed that biomedical gerontology — and biomedicine generally — shift its focus from the pursuit of therapies that modulate metabolic pathways in order to retard the progression of aging and its legion of specific disease syndromes, to a new class of regenerative therapies that would reverse the course of aging and age-related disease by repairing the underlying cellular and molecular damage.(250,251) By removing, repairing, replacing, and rendering harmless the damaged functional units whose accumulation leads to the functional decline of tissues and organs, such “rejuvenation biotechnologies” could have dramatic and rapid benefits for the health of aging people. Already at that time, de Grey and coauthors were able to identify biotechnologies (either extant in proof-of-principle, or clearly foreseeable from existing developments in the relevant field) able to repair or otherwise regenerate the full sweep of aging damage. Accordingly, they pointed out that a comprehensive suite of such therapies would hold the potential to postpone the diseaseas and disabilities of aging indefinitely, thereby “engineering negligible senescence.”
SENS Research Foundation is dedicated to catalyzing this transformation, making the application of regenerative medicine to the diseases and disabilities of aging the dominant paradigm for biomedical research and the development of new therapeutics. We are building an alliance of aging patients, caregivers, and scientists demanding the new regenerative medicines. We are supplementing and supporting the education of the rising generation of rejuvenation researchers. We are breaking down the silos separating the multiple divided fields of damage-repair-based biomedicine, bringing together researchers in multiple nominal disciplines for the biannual Strategies for Engineered Negligible Senescence (SENS) Conferences, and supporting the dissemination of rejuvenation research in peer-reviewed publication. And to provide proofs-of-principle and ensure progress across the entire platform of rejuvenation biotechnology, we are performing and funding critical-path rejuvenation research in our intramural Research Center and in independent research centers across the globe.
Whether CR can retard aging in nonhuman primates or not; whether it can retard aging in humans or not; whether even effective CR mimetics can somehow be shepherded through clinical trials — even the most optimistic projection for retarding aging through such approaches is inadequate to the needs and suffering of aging world. A revolutionary new class of therapies to prevent and reverse the disabilities and diseases of aging is within reach — therapies that not only go beyond what has heretofore been accomplished by medical research, but beyond most of what has heretofore been contemplated in biomedicine. Degenerative aging processes must not merely be modulated: they must be undone, by repairing the damage that drives them. The time has come for biomedical startups, academic labs, NIA, and the biomedical research institutes of the world’s governments to embrace the transition into a new heuristic, and unleash the the world’s scientists to race for the promise of rejuvenation biotechnology.
Acknowledgements
The author would like to thank Dr. Julie Mattison, Dr. Donald Ingram, Dr. Ricki Colman, Matthew Lake, Dr. Alan Pater, Edouard Debonneuil, Alex Pickering, Dean Pomerleau, Richard Schulman, and Robert Seitz for helpful discussions and analysis, and Edouard Debonneuil for graphics editing.
* The Epidemiology of Overweight and Obesity. While this is not the place to debate BMI epidemiology in detail, it should be noted that age-retarding effect of Calorie restriction in rodents is not a phenomenon of body weight or adiposity per se,(42-45) and so testing it against anthropometric data in humans is inappropriate. Moreover, the BMI-mortality epidemiology is confounded by reverse causation;(72,109-112) by poor micronutrient nutrition in self-selected low-Calorie diets,(73-75) which appear to be incompatible with adult-onset CR;(53) and by the multiple factors other than energy intake that affect body weight and adiposity. Additionally, there is a clear and strong secular trend toward amelioration of obesity-associated cardiovascular risk factor profiles in today’s obese cohorts than in previous ones,(113-15) suggesting that medical management is confounding the more modest associations between obesity and mortality reported in many recent cohorts as compared to earlier studies. Finally, and most importantly, “The lower-weight individuals in the[se] studies are not CR, because their caloric intake reflects their individual ad libitum set-points, and not a reduction from that set-point.”(76) In fact, epidemiological data suggest that “an actual intentional weight loss is not associated with increased mortality,”(105) and one(106) randomized, controlled trial found that intentional weight loss in older overweight and obese adults resulted in a substantial reduction in mortality rates (hazard ratio [95% confidence interval] = 0.5 [0.3-0.9], p=0.01), while another(107) reported a trend in that direction (HR 0.82 [0.55, 1.22], p=0.32).
†“Crypto-CR” in Cornstarch- Vs. Sucrose-Fed Rats. In addition to the characteristics of the survival curve (which, again, are unique to this study as an effect of starch feeding), this interpretation of the results of the study is bolstered by two additional observations. First, the body weights of both cohorts of starch-fed rats were significantly lower than those of isocaloric sucrose-fed rats from weaning up until ~75 wk of age, when animals fed sucrose-based diets AL entered into the terminal weight-loss phase earlier than starch-fed animals; little such decline, and no differential based on carbohydrate source, was observed when the diets were fed CR (their Fig. 1). While the differences were modest, they were significant, and as documented in a thorough and trenchant review of the flaws in most rodent longevity studies by Dr. Stephen Spindler, seemingly minor and temporary changes in energy intake can exert significant effects on health and longevity outcomes.(101)
Secondly, in both the CR and the AL cohorts, animals fed the starch diet suffered ~3 times as many deaths from intestinal blockages as the sucrose-fed animals, while the numbers of animals falling to every other cause of death (including “unknown”) were identical or nearly so between the two diets at a given Calorie level. (their Table 3) The high death rate from intestinal blockages is certainly highly consistent with — and could even be the mechanism of — an hypothetical difficulty in absorbing the energy in the starch diet.
The investigators themselves partially sketched out a version of this hypothesis,(34) only to reject it, but was later revived by CR Society President Brian Delaney. The authors found no significant correlation in a regression analysis of animals’ body weights upon their age at death (their Fig. 2), but the data as presented do not present a strong case against the hypothesis. First, although not statistically significantly different, the slope of the regression appears to indicate a relationship between body weight and longevity in the AL cohort, exactly as the hypothesis would predict. Second, it is not clear at what point in the lifespan these data were taken, and may well be based on a single data point — another weakness common in rodent longevity studies.(101) The authors considered but rejected the involvement of malabsorption in their observations, pointing to similar energy absorption based on intake and fecal energy,(Table 5) but it is unclear at what point in the life or under what conditions this single observation was made.
There is a suggestion of a lower body weight in cornstarch- vs sucrose- fed animals in the newer report,(36) especially when the diet was fed ad libitum — yet other carbohydrate sources yield unpredictable results, with the most striking difference being that animals fed diets with pure fructose as a carbohydrate source weighed consistently less than other cohorts throughout the lifespan when fed ad libitum (their Figure 1, and cf. the pooled data all animals fed fructose-containing vs. fructose-free diets either CR or AL in their Figure 2)). Malabsorption does not seem to have been a factor in this study, then; nor does it seem consistent with an obesogenic effect of fructose, as is sometimes suggested (discussion in (26)), since the higher body weight in fructose-fed subgroups seems to have been evenly distributed into adipose and fat-free mass, with the most notable selective partitioning being into an increase of fat-free mass in animals fed fructose-containing diets AL (their Figure 3). The likely reason for divergent weights in this study is that the AL groups were allowed to eat their chow on a literally ad libitum (free) basis, and their CR cohorts restricted from that level, rather than holding energy intake constant between all AL (and thus all CR) groups: although “All of the rats with free access to food were fed a similar amount of grams of food per day”, “There was some variability between the free access–fed carbohydrate groups in the first 2 wk, with the glucose- and fructose plus glucose–fed rats being fed ∼3 g/d more than the fructose-fed rats. By wk 25, the variability between carbohydrate groups decreased.”(36)
‡ The very small effect on median lifespan in the females, and indeed the lower median (and maximum – Figure 3) lifespan in females within the NIA study relative to their male counterparts, is notable for its reverse the survival advantage that females of most mammalian species normally enjoy, which is reportedly even greater in rhesus monkeys than in mice and (wo)men: different sources report an advantage ranging from five (98) to as many as nearly eight years of additional life expectancy for females. This may, as previously discussed, be attributable to their uncertain husbandry prior to entering into the NIA study, and is confounded by the very high and early prevalence of severe endometriosis.
¶ The most notable exception is total cholesterol, which is lower in vegans than in any other group.(133) In a separate raw vegan cohort,(136) HDL cholesterol was lower (rather than higher) than controls.
‖ It bears mentioning that Johnson et al(182) plausibly dispute Stunkard’s estimates, suggesting instead that the pattern was of alternate-day under- and compensatory over-feeding to maintain the same energy intakes in both groups.
References
1. Weindruch R., Walford R. L. The Retardation of Aging and Disease by Dietary Restriction. 1988; Charles C. Thomas Springfield, IL.
2. Smith DL Jr, Nagy TR, Allison DB. Calorie restriction: what recent results suggest for the future of ageing Research. Eur J Clin Invest 2010; 40 (5): 440-50.
3. Kealy RD, Lawler DF, Ballam JM, Mantz SL, Biery DN, Greeley EH, Lust G, Segre M, Smith GK, Stowe HD. Effects of diet restriction on life span and age-related changes in dogs. J Am Vet Med Assoc. 2002 May 1;220(9):1315-20. PubMed PMID: 11991408.
4. Lane MA, Ingram DK, Roth GS. 2-Deoxy-D-glucose feeding in rats mimics physiologic effects of calorie restriction. J Anti-Aging Med. 1998 Winter;1(4):327-37
5. Colman RJ, Anderson RM, Johnson SC, Kastman EK, Kosmatka KJ, Beasley TM, Allison DB, Cruzen C, Simmons HA, Kemnitz JW, Weindruch R. Caloric restriction delays disease onset and mortality in rhesus monkeys. Science. 2009 Jul 10;325(5937):201-4. PubMed PMID: 19590001; PubMed Central PMCID: PMC2812811.
6. Mattison JA, Roth GS, Beasley TM, Tilmont EM, Handy AM, Herbert RL, Longo DL, Allison DB, Young JE, Bryant M, Barnard D, Ward WF, Qi W, Ingram DK, de Cabo R. Impact of caloric restriction on health and survival in rhesus monkeys from the NIA study. Nature. 2012 Sep 13;489(7415):318-21. doi: 10.1038/nature11432. [Epub ahead of print] PubMed PMID: 22932268.
7. Ramsey JJ, Colman RJ, Binkley NC, Christensen JD, Gresl TA, Kemnitz JW, Weindruch R. Dietary restriction and aging in rhesus monkeys: the University of Wisconsin study. Exp Gerontol. 2000 Dec;35(9-10):1131-49. PubMed PMID: 11113597
8. Duffy PH, Lewis SM, Mayhugh MA, McCracken A, Thorn BT, Reeves PG, Blakely SA, Casciano DA, Feuers RJ.Effect of the AIN-93M purified diet and dietary restriction on survival in Sprague-Dawley rats: implications for chronic studies.J Nutr. 2002 Jan;132(1):101-7.PMID: 11773515
9. Keenan KP, Ballam GC, Dixit R, Soper KA, Laroque P, Mattson BA, Adams SP, Coleman JB. The effects of diet, overfeeding and moderate dietary restriction on Sprague-Dawley rat survival, disease and toxicology. J Nutr. 1997 May;127(5 Suppl):851S-856S. Review. PubMed PMID: 9164252
10. Mai V, Colbert LH, Berrigan D, Perkins SN, Pfeiffer R, Lavigne JA, Lanza E, Haines DC, Schatzkin A, Hursting SD. Calorie restriction and diet composition modulate spontaneous intestinal tumorigenesis in Apc(Min) mice through different mechanisms. Cancer Res. 2003 Apr 15;63(8):1752-5. PubMed PMID: 12702556.
11. Boileau TW, Liao Z, Kim S, Lemeshow S, Erdman JW Jr, Clinton SK. Prostate carcinogenesis in N-methyl-N-nitrosourea (NMU)-testosterone-treated rats fed tomato powder, lycopene, or energy-restricted diets. J Natl Cancer Inst. 2003 Nov 5;95(21):1578-86. PubMed PMID: 14600090.
The abstract of this study is unintentionally misleading, and unfortunately the authors never break down the results group-by-group. However, it is clear from the full text of the report that the benefits of even this mild CR (5 or 20%) were superior to those of the tomato powder fed AL. and that they were also additive, so that eating tomato powder CR was of further benefit.
12. Alink GM, Kuiper HA, Hollanders VM, Koeman JH. Effect of heat processing and of vegetables and fruit in human diets on 1,2-dimethylhydrazine-induced colon carcinogenesis in rats. Carcinogenesis. 1993 Mar;14(3):519-24. PubMed PMID: 8453729.
13. Chen Q, Cheng LQ, Xiao TH, Zhang YX, Zhu M, Zhang R, Li K, Wang Y, Li Y. Effects of omega-3 fatty acid for sudden cardiac death prevention in patients with cardiovascular disease: a contemporary meta-analysis of randomized, controlled trials. Cardiovasc Drugs Ther. 2011 Jun;25(3):259-65. PubMed PMID: 21626218.
14. Kwak SM, Myung SK, Lee YJ, Seo HG; for the Korean Meta-analysis Study Group. Efficacy of Omega-3 Fatty Acid Supplements (Eicosapentaenoic Acid and Docosahexaenoic Acid) in the Secondary Prevention of Cardiovascular Disease: A Meta-analysis of Randomized, Double-blind, Placebo-Controlled Trials. Arch Intern Med. 2012 Apr 9. [Epub ahead of print] PubMed PMID: 22493407.
15. Zhou YH, Tang JY, Wu MJ, Lu J, Wei X, Qin YY, Wang C, Xu JF, He J. Effect of folic acid supplementation on cardiovascular outcomes: a systematic review and meta-analysis. PLoS One. 2011;6(9):e25142. Epub 2011 Sep 28. Review. PubMed PMID: 21980387; PubMed Central PMCID: PMC3182189.
16. Myung SK, Kim Y, Ju W, Choi HJ, Bae WK. Effects of antioxidant supplements on cancer prevention: meta-analysis of randomized controlled trials. Ann Oncol. 2010 Jan;21(1):166-79. Epub 2009 Jul 21. PubMed PMID: 19622597.
17. Lippman SM, Klein EA, Goodman PJ, Lucia MS, Thompson IM, Ford LG, Parnes HL, Minasian LM, Gaziano JM, Hartline JA, Parsons JK, Bearden JD 3rd, Crawford ED, Goodman GE, Claudio J, Winquist E, Cook ED, Karp DD, Walther P, Lieber MM, Kristal AR, Darke AK, Arnold KB, Ganz PA, Santella RM, Albanes D, Taylor PR, Probstfield JL, Jagpal TJ, Crowley JJ, Meyskens FL Jr, Baker LH, Coltman CA Jr. Effect of selenium and vitamin E on risk of prostate cancer and other cancers: the Selenium and Vitamin E Cancer Prevention Trial (SELECT). JAMA. 2009 Jan 7;301(1):39-51. Epub 2008 Dec 9. PubMed PMID: 19066370.
18. Stranges S, Marshall JR, Natarajan R, Donahue RP, Trevisan M, Combs GF, Cappuccio FP, Ceriello A, Reid ME. Effects of long-term selenium supplementation on the incidence of type 2 diabetes: a randomized trial. Ann Intern Med. 2007 Aug 21;147(4):217-23. Epub 2007 Jul 9. PubMed PMID: 17620655.
19. Bjelakovic G, Nikolova D, Gluud LL, Simonetti RG, Gluud C. Mortality in randomized trials of antioxidant supplements for primary and secondary prevention: systematic review and meta-analysis. JAMA. 2007 Feb 28;297(8):842-57. Review. Erratum in: JAMA. 2008 Feb 20;299(7):765-6. PubMed PMID: 17327526.
20. Marriott BP, Olsho L, Hadden L, Connor P. Intake of added sugars and selected nutrients in the United States, National Health and Nutrition Examination Survey (NHANES) 2003-2006. Crit Rev Food Sci Nutr. 2010 Mar;50(3):228-58. PubMed PMID: 20301013.
21. Duffey KJ, Popkin BM. High-fructose corn syrup: is this what’s for dinner? Am J Clin Nutr. 2008 Dec;88(6):1722S-1732S. PubMed PMID: 19064537; PubMed Central PMCID: PMC2746720.
22. Stanhope KL, Bremer AA, Medici V, Nakajima K, Ito Y, Nakano T, Chen G, Fong TH, Lee V, Menorca RI, Keim NL, Havel PJ. Consumption of fructose and high fructose corn syrup increase postprandial triglycerides, LDL-cholesterol, and apolipoprotein-B in young men and women. J Clin Endocrinol Metab. 2011 Oct;96(10):E1596-605. Epub 2011 Aug 17. PubMed PMID: 21849529; PubMed Central PMCID: PMC3200248.
23. Malik VS, Popkin BM, Bray GA, Després JP, Willett WC, Hu FB. Sugar-sweetened beverages and risk of metabolic syndrome and type 2 diabetes: a meta-analysis. Diabetes Care. 2010 Nov;33(11):2477-83. Epub 2010 Aug 6. Review. PubMed PMID: 20693348; PubMed Central PMCID: PMC2963518.
24. Lim JS, Mietus-Snyder M, Valente A, Schwarz JM, Lustig RH. The role of fructose in the pathogenesis of NAFLD and the metabolic syndrome. Nat Rev Gastroenterol Hepatol. 2010 May;7(5):251-64. Epub 2010 Apr 6. Review. PubMed PMID: 20368739.
24a. Maersk M, Belza A, Stødkilde-Jørgensen H, Ringgaard S, Chabanova E, Thomsen H, Pedersen SB, Astrup A, Richelsen B. Sucrose-sweetened beverages increase fat storage in the liver, muscle, and visceral fat depot: a 6-mo randomized intervention study. Am J Clin Nutr. 2012 Feb;95(2):283-9. doi: 10.3945/ajcn.111.022533. Epub 2011 Dec 28. PubMed PMID: 22205311.
25. Stanhope KL, Schwarz JM, Keim NL, Griffen SC, Bremer AA, Graham JL, Hatcher B, Cox CL, Dyachenko A, Zhang W, McGahan JP, Seibert A, Krauss RM, Chiu S, Schaefer EJ, Ai M, Otokozawa S, Nakajima K, Nakano T, Beysen C, Hellerstein MK, Berglund L, Havel PJ. Consuming fructose-sweetened, not glucose-sweetened, beverages increases visceral adiposity and lipids and decreases insulin sensitivity in overweight/obese humans. J Clin Invest. 2009 May;119(5):1322-34. doi: 10.1172/JCI37385. Epub 2009 Apr 20. PubMed PMID: 19381015; PubMed Central PMCID: PMC2673878.
26. Malik VS, Schulze MB, Hu FB. Intake of sugar-sweetened beverages and weight gain: a systematic review. Am J Clin Nutr. 2006 Aug;84(2):274-88. Review. PubMed PMID: 16895873; PubMed Central PMCID: PMC3210834.
27. Reiser S, Powell AS, Scholfield DJ, Panda P, Ellwood KC, Canary JJ. Blood lipids, lipoproteins, apoproteins, and uric acid in men fed diets containing fructose or high-amylose cornstarch. Am J Clin Nutr. 1989 May;49(5):832-9. PubMed PMID: 2497634.
28. Gross LS, Li L, Ford ES, Liu S. Increased consumption of refined carbohydrates and the epidemic of type 2 diabetes in the United States: an ecologic assessment. Am J Clin Nutr. 2004 May;79(5):774-9. PubMed PMID: 15113714.
29. Wiernsperger N, Geloen A, Rapin JR. Fructose and cardiometabolic disorders: the controversy will, and must, continue. Clinics (Sao Paulo). 2010 Jul;65(7):729-38. Review. PubMed PMID: 20668632; PubMed Central PMCID: PMC2910863.
30. World Health Organization/Food and Agriculture Organization. Diet, nutrition and the prevention of chronic diseases. Report of a joint WHO/FAO expert consultation. WHO Technical Report Series 916. Geneva: WHO; 2003.
31. Johnson RK, Appel LJ, Brands M, Howard BV, Lefevre M, Lustig RH, Sacks F, Steffen LM, Wylie-Rosett J; American Heart Association Nutrition Committee of the Council on Nutrition, Physical Activity, and Metabolism and the Council on Epidemiology and Prevention. Dietary sugars intake and cardiovascular health: a scientific statement from the American Heart Association. Circulation. 2009 Sep 15;120(11):1011-20. Epub 2009 Aug 24. PubMed PMID: 19704096.
32. Miller M, Stone NJ, Ballantyne C, Bittner V, Criqui MH, Ginsberg HN, Goldberg AC, Howard WJ, Jacobson MS, Kris-Etherton PM, Lennie TA, Levi M, Mazzone T, Pennathur S; American Heart Association Clinical Lipidology, Thrombosis, and Prevention Committee of the Council on Nutrition, Physical Activity, and Metabolism; Council on Arteriosclerosis, Thrombosis and Vascular Biology; Council on Cardiovascular Nursing; Council on the Kidney in Cardiovascular Disease. Triglycerides and cardiovascular disease: a scientific statement from the American Heart Association. Circulation. 2011 May 24;123(20):2292-333. Epub 2011 Apr 18. PubMed PMID: 21502576.
33. Bremer AA, Stanhope KL, Graham JL, Cummings BP, Wang W, Saville BR, Havel PJ. Fructose-fed rhesus monkeys: a nonhuman primate model of insulin resistance, metabolic syndrome, and type 2 diabetes. Clin Transl Sci. 2011 Aug;4(4):243-52. doi: 10.1111/j.1752-8062.2011.00298.x. PubMed PMID: 21884510; PubMed Central PMCID: PMC3170136.
34. Murtagh-Mark CM, Reiser KM, Harris R Jr, McDonald RB. Source of dietary carbohydrate affects life span of Fischer 344 rats independent of caloric restriction. J Gerontol A Biol Sci Med Sci. 1995 May;50(3):B148-54. PubMed PMID: 7743394.
35. Lingelbach LB, Mitchell AE, Rucker RB, McDonald RB. Accumulation of advanced glycation endproducts in aging male Fischer 344 rats during long-term feeding of various dietary carbohydrates. J Nutr. 2000 May;130(5):1247-55. PubMed PMID: 10801926.
36. Lingelbach LB, McDonald RB. Description of the long-term lipogenic effects of dietary carbohydrates in male Fischer 344 rats. J Nutr. 2000 Dec;130(12):3077-84. PMID: 11110873 [PubMed – indexed for MEDLINE]
37. Kanthaswamy S, Gill L, Satkoski J, Goyal V, Malladi V, Kou A, Basuta K, Sarkisyan L, George D, Smith DG. Development of a Chinese-Indian hybrid (Dhindian) rhesus macaque colony at the California National Primate Researh Center by introgression. 2009 Apr;38(2):86-96. Epub 2008 Aug 18. PMID: 18715266 [PubMed – indexed for MEDLINE] PMCID: PMC2664393
38. Weed JL, Lane MA, Roth GS, Speer DL, Ingram DK. Activity measures in rhesus monkeys on long-term calorie restriction. Physiol Behav. 1997 Jul;62(1):97-103. PubMed PMID: 9226348.
39. Ramsey JJ, Roecker EB, Weindruch R,Baum ST, Kemnitz JW. Thermogenesis of adult male rhesus monkeys: results through 66 months of dietary restriction. FASEB J. 1996;10:A726. Cited by (38)
40. Liao CY, Rikke BA, Johnson TE, Diaz V, Nelson JF. Genetic variation in the murine lifespan response to dietary restriction: from life extension to life shortening. Aging Cell. 2010 Feb;9(1):92-5. Epub 2009 Oct 30. PubMed PMID: 19878144.
41. Liao CY, Rikke BA, Johnson TE, Gelfond JA, Diaz V, Nelson JF. Fat maintenance is a predictor of the murine lifespan response to dietary restriction. Aging Cell. 2011 Aug;10(4):629-39. doi: 10.1111/j.1474-9726.2011.00702.x. Epub 2011 Apr 25. PubMed PMID: 21388497.
42. Rikke BA, Liao CY, McQueen MB, Nelson JF, Johnson TE. Genetic dissection of dietary restriction in mice supports the metabolic efficiency model of life extension. Exp Gerontol. 2010 Sep;45(9):691-701. Epub 2010 May 7. PubMed PMID: 20452416; PubMed Central PMCID: PMC2926251.
43. Bertrand HA, Lynd FT, Masoro EJ, Yu BP. Changes in adipose mass and cellularity through the adult life of rats fed ad libitum or a life-prolonging restricted diet. J Gerontol. 1980 Nov;35(6):827-35. PMID: 7440923; UI: 81070531
44. Weindruch R, Walford RL, Fligiel S, Guthrie D. The retardation of aging in mice by dietary restriction: longevity, cancer, immunity and lifetime energy intake. J Nutr. 1986 Apr;116(4):641-54. PubMed PMID: 3958810.
45. Personal communication, SR Spindler.
46. Harper JM, Leathers CW, Austad SN. Does caloric restriction extend life in wild mice? Aging Cell. 2006 Dec;5(6):441-9. Epub 2006 Oct 27. PubMed PMID: 17054664; PubMed Central PMCID: PMC2923404.
47. Miller RA, Harper JM, Dysko RC, Durkee SJ, Austad SN. Longer life spans and delayed maturation in wild-derived mice. Exp Biol Med (Maywood). 2002 Jul;227(7):500-8. PubMed PMID: 12094015.
48. Forster MJ, Morris P, Sohal RS. Genotype and age influence the effect of caloric intake on mortality in mice. FASEB J. 2003 Apr;17(6):690-2. Epub 2003 Feb 5. PubMed PMID: 12586746; PubMed Central PMCID: PMC2839882.
49. Dhahbi JM, Kim HJ, Mote PL, Beaver RJ, Spindler SR. Temporal linkage between the phenotypic and genomic responses to caloric restriction. Proc Natl Acad Sci U S A. 2004 Apr 13;101(15):5524-9. Epub 2004 Mar 25. PubMed PMID: 15044709; PubMed Central PMCID: PMC397416.
50. Turturro A, Witt WW, Lewis S, Hass BS, Lipman RD, Hart RW. Growth curves and survival characteristics of the animals used in the Biomarkers of Aging Program. J Gerontol A Biol Sci Med Sci. 1999 Nov;54(11):B492-501. PubMed PMID: 10619312.
51. Flurkey K, Astle CM, Harrison DE. Life extension by diet restriction and N-acetyl-L-cysteine in genetically heterogeneous mice. J Gerontol A Biol Sci Med Sci. 2010 Dec;65(12):1275-84. Epub 2010 Sep 5. PubMed PMID: 20819793; PubMed Central PMCID: PMC2990268.
52. Gao G, Wan W, Zhang S, Redden DT, Allison DB. Testing for differences in distribution tails to test for differences in ‘maximum’ lifespan. BMC Med Res Methodol. 2008 Jul 25;8:49. PubMed PMID: 18655712; PubMed Central PMCID: PMC2529340.
53. Weindruch R, Walford RL. Dietary restriction in mice beginning at 1 year of age: effect on life-span and spontaneous cancer incidence. Science. 1982 Mar 12;215(4538):1415-8. PMID: 7063854 [PubMed – indexed for MEDLINE]
54. Olshansky SJ, Perry D, Miller RA, Butler RN. In pursuit of the Longevity Dividend. The Scientist. 2006; 20(3):28-36.
55. Rae MJ, Butler RN, Campisi J, de Grey AD, Finch CE, Gough M, Martin GM, Vijg J, Perrott KM, Logan BJ. The demographic and biomedical case for late-life interventions in aging. Sci Transl Med. 2010 Jul 14;2(40):40cm21. PubMed PMID: 20630854.
56. Fontana L, Partridge L, Longo VD. Extending healthy life span–from yeast to humans. Science. 2010 Apr 16;328(5976):321-6. Review. PubMed PMID: 20395504.
57. Barzilai N, Bartke A. Biological approaches to mechanistically understand the healthy life span extension achieved by calorie restriction and modulation of hormones. J Gerontol A Biol Sci Med Sci. 2009 Feb;64(2):187-91. Epub 2009 Feb 19. Review. PubMed PMID: 19228789; PubMed Central PMCID: PMC2655014.
58. Guevara-Aguirre J, Balasubramanian P, Guevara-Aguirre M, Wei M, Madia F, Cheng CW, Hwang D, Martin-Montalvo A, Saavedra J, Ingles S, de Cabo R, Cohen P, Longo VD. Growth hormone receptor deficiency is associated with a major reduction in pro-aging signaling, cancer, and diabetes in humans. Sci Transl Med. 2011 Feb 16;3(70):70ra13. PubMed PMID: 21325617; PubMed Central PMCID: PMC3357623.
59. Fontana L, Weiss EP, Villareal DT, Klein S, Holloszy JO. Long-term effects of calorie or protein restriction on serum IGF-1 and IGFBP-3 concentration in humans. Aging Cell. 2008 Oct;7(5):681-7. PubMed PMID: 18843793; PubMed Central PMCID: PMC2673798.
60. Cocchi D, Cattaneo L, Cutler RG, Ingram DK, Lane MA, Roth GS. Effect of long-term dietary restriction on the somatotropic axis in adult and aged monkeys. Neuroendocrinol Lett. 1995;17(3):181-186.
61. Mattison JA, Roth GS, Ingram DK, Lane MA. Endocrine effects of dietary restriction and aging: the National Institute on Aging study. J Anti-Aging Med. 2001 Sep; 4(3):215-23.
62. Ingram DK, Cutler RG, Weindruch R, Renquist DM, Knapka JJ, April M, Belcher CT, Clark MA, Hatcherson CD, Marriott BM, et al. Dietary restriction and aging: the initiation of a primate study. J Gerontol. 1990 Sep;45(5):B148-63. PubMed PMID: 2394908.
63. Kemnitz JW, Weindruch R, Roecker EB, Crawford K, Kaufman PL, Ershler WB. Dietary restriction of adult male rhesus monkeys: design, methodology, and preliminary findings from the first year of study. J Gerontol. 1993 Jan;48(1):B17-26. PubMed PMID: 8418134.
64. Kemnitz JW. Calorie restriction and aging in nonhuman primates. ILAR J. 2011 Feb 8;52(1):66-77. Review. PubMed PMID: 21411859; PubMed Central PMCID: PMC3278796.
65. Rae MJ. It’s never too late: calorie restriction is effective in older mammals. Rejuvenation Res. 2004 Spring;7(1):3-8. Review. PubMed PMID: 15256039.
66. Weindruch R, Walford RL, Fligiel S, Guthrie D. The retardation of aging in mice by dietary restriction: longevity, cancer, immunity and lifetime energy intake. J Nutr. 1986 Apr;116(4):641-54. PubMed PMID: 3958810.
67. Merry BJ. Molecular mechanisms linking calorie restriction and longevity. Int J Biochem Cell Biol. 2002 Nov;34(11):1340-54. Review. PMID: 12200030 [PubMed – indexed for MEDLINE]
68. Nelson JF, Gosden RG, Felicio LS. Effect of dietary restriction on estrous cyclicity and follicular reserves in aging C57BL/6J mice. Biol Reprod. 1985 Apr;32(3):515-22. PubMed PMID: 4039610.
69. Chaston TB, Dixon JB. Factors associated with percent change in visceral versus subcutaneous abdominal fat during weight loss: findings from a systematic review. Int J Obes (Lond). 2008 Apr;32(4):619-28. Epub 2008 Jan 8. Review. PubMed PMID: 18180786.
70. Flegal KM, Graubard BI, Williamson DF, Gail MH. Cause-specific excess deaths associated with underweight, overweight, and obesity. JAMA. 2007 Nov 7;298(17):2028-37. PubMed PMID: 17986696.
71. Donini LM, Savina C, Gennaro E, De Felice MR, Rosano A, Pandolfo MM, Del Balzo V, Cannella C, Ritz P, Chumlea WC. A systematic review of the literature concerning the relationship between obesity and mortality in the elderly. J Nutr Health Aging. 2012 Jan;16(1):89-98. Review. PubMed PMID: 22238007.
72. Hu FB. Interpreting Epidemiologic Evidence and Causal Inference in Obesity Research. In Hu FB. Obesity Epidemiology. New York, NY: Oxford University Press. pp. 38–52. ISBN 0-19-531291-0. Retrieved 2011-02-20.
73. St Jeor ST, Howard BV, Prewitt TE, Bovee V, Bazzarre T, Eckel RH; Nutrition Committee of the Council on Nutrition, Physical Activity, and Metabolism of the American Heart Association. Dietary protein and weight reduction: a statement for healthcare professionals from the Nutrition Committee of the Council on Nutrition, Physical Activity, and Metabolism of the American Heart Association. Circulation. 2001 Oct 9;104(15):1869-74. PubMed PMID: 11591629.
74. Ma Y, Pagoto SL, Griffith JA, Merriam PA, Ockene IS, Hafner AR, Olendzki BC. A dietary quality comparison of popular weight-loss plans. J Am Diet Assoc. 2007 Oct;107(10):1786-91. PubMed PMID: 17904938; PubMed Central PMCID: PMC2040023.
75. Gardner CD, Kim S, Bersamin A, Dopler-Nelson M, Otten J, Oelrich B, Cherin R. Micronutrient quality of weight-loss diets that focus on macronutrients: results from the A TO Z study. Am J Clin Nutr. 2010 Aug;92(2):304-12. Epub 2010 Jun 23. PubMed PMID: 20573800; PubMed Central PMCID: PMC2904033.
76. Spindler SR. Biological Effects of Calorie Restriction: Implications for Modification of Human Aging. In Fahy GM, West M, Coles LS, Harris SB (eds), The Future of Aging. 2010; Springer, New York, NY. pp. 367–438. doi:10.1007/978-90-481-3999-6_12. ISBN 978-90-481-3998-9.
77. Harrison DE, Archer JR. Natural selection for extended longevity from food restriction. Growth Dev Aging. 1989 Spring-Summer;53(1-2):3. PubMed PMID: 2807643.
78. Wang C, Weindruch R, Fernandez JR, Coffey CS, Patel P, Allison DB. Caloric restriction and body weight independently affect longevity in Wistar rats. Int J Obes Relat Metab Disord. 2004 Mar;28(3):357-62. PMID: 14724654 [PubMed – in process]
79. Holloszy JO. Mortality rate and longevity of food-restricted exercising male rats: a reevaluation. J Appl Physiol. 1997 Feb;82(2):399-403. PubMed PMID: 9049716. [PubMed – in process]
80. Shanley DP, Kirkwood TB. Caloric restriction does not enhance longevity in all species and is unlikely to do so in humans. Biogerontology. 2006 Jun;7(3):165-8. PubMed PMID: 16858629.
81. de Grey AD. The unfortunate influence of the weather on the rate of ageing: why human caloric restriction or its emulation may only extend life expectancy by 2-3 years. Gerontology. 2005 Mar-Apr;51(2):73-82. Review. PubMed PMID: 15711074.
82. Demetrius L. Caloric restriction, metabolic rate, and entropy. J Gerontol A Biol Sci Med Sci. 2004 Sep;59(9):B902-15. PubMed PMID: 15472153.
83. Phelan JP, Rose MR. Why dietary restriction substantially increases longevity in animal models but won’t in humans. Ageing Res Rev. 2005 Aug;4(3):339-50. Review. PubMed PMID: 16046282.
84. Penniston KL, Tanumihardjo SA. Subtoxic hepatic vitamin A concentrations in captive rhesus monkeys (Macaca mulatta). J Nutr. 2001 Nov;131(11):2904-9. PMID: 11694616 [PubMed – indexed for MEDLINE]
85. Dever JT, Tanumihardjo SA. Hypervitaminosis A in experimental nonhuman primates: evidence, causes, and the road to recovery. Am J Primatol. 2009 Oct;71(10):813-6. PubMed PMID: 19484706.
86. Stein PK, Soare A, Meyer TE, Cangemi R, Holloszy JO, Fontana L. Caloric restriction may reverse age-related autonomic decline in humans. Aging Cell. 2012 Aug;11(4):644-650. doi: 10.1111/j.1474-9726.2012.00825.x. Epub 2012 May 21. PubMed PMID: 22510429.
87. Soare A, Cangemi R, Omodei D, Holloszy JO, Fontana L. Long-term calorie restriction, but not endurance exercise, lowers core body temperature in humans. Aging (Albany NY). 2011 Apr;3(4):374-9. PubMed PMID: 21483032; PubMed Central PMCID: PMC3117452.
88. Cangemi R, Friedmann AJ, Holloszy JO, Fontana L. Long-term effects of calorie restriction on serum sex-hormone concentrations in men. Aging Cell. 2010 Apr;9(2):236-42. Epub 2010 Jan 20. PubMed PMID: 20096034.
89. Fontana L, Klein S, Holloszy JO. Effects of long-term calorie restriction and endurance exercise on glucose tolerance, insulin action, and adipokine production. Age (Dordr). 2010 Mar;32(1):97-108. Epub 2009 Nov 11. PubMed PMID: 19904628; PubMed Central PMCID: PMC2829643.
90. Weiss EP, Fontana L. Caloric restriction: powerful protection for the aging heart and vasculature. Am J Physiol Heart Circ Physiol. 2011 Oct;301(4):H1205-19. doi: 10.1152/ajpheart.00685.2011. Epub 2011 Aug 12. PubMed PMID: 21841020; PubMed Central PMCID: PMC3197347.
91. Fontana L, Klein S, Holloszy JO, Premachandra BN. Effect of long-term calorie restriction with adequate protein and micronutrients on thyroid hormones. J Clin Endocrinol Metab. 2006 Aug;91(8):3232-5. Epub 2006 May 23. PubMed PMID: 16720655.
92. Meyer TE, Kovács SJ, Ehsani AA, Klein S, Holloszy JO, Fontana L. Long-term caloric restriction ameliorates the decline in diastolic function in humans. J Am Coll Cardiol. 2006 Jan 17;47(2):398-402. PubMed PMID: 16412867.
93. Fontana L, Meyer TE, Klein S, Holloszy JO. Long-term calorie restriction is highly effective in reducing the risk for atherosclerosis in humans. Proc Natl Acad Sci U S A. 2004 Apr 27;101(17):6659-63. Epub 2004 Apr 19. PubMed PMID: 15096581; PubMed Central PMCID: PMC404101.
93a. Mercken EM, Crosby SD, Lamming DW, Jebailey L, Krzysik-Walker S, Villareal D, Capri M, Franceschi C, Zhang Y, Becker K, Sabatini DM, de Cabo R, Fontana L. Calorie restriction in humans inhibits the PI3K/AKT pathway and induces a younger transcription profile. Aging Cell. 2013 Apr 20. doi: 10.1111/acel.12088. [Epub ahead of print] PubMed PMID: 23601134.
94.Walford RL, Mock D, Verdery R, MacCallum T. Calorie restriction in biosphere 2: alterations in physiologic, hematologic, hormonal, and biochemical parameters in humans restricted for a 2-year period. J Gerontol A Biol Sci Med Sci. 2002 Jun;57(6):B211-24. PubMed PMID: 12023257.
95. Rae MJ. You don’t need a weatherman: famines, evolution, and intervention into aging. AGE. 2006 March;28(1):93-109.
96. Fontana L. Long-Term Calorie Restriction in Humans: An Update. Presentation at the Third Calorie Restriction Society Conference. Charleston, SC, November 6 2004.
97. Sitzmann BD, Leone EH, Mattison JA, Ingram DK, Roth GS, Urbanski HF, Zelinski MB, Ottinger MA. Effects of moderate calorie restriction on testosterone production and semen characteristics in young rhesus macaques (Macaca mulatta). Biol Reprod. 2010 Oct;83(4):635-40. Epub 2010 Jul 7. PubMed PMID: 20610809; PubMed Central PMCID: PMC2957152.
98. MobileReference. The Illustrated Encyclopedia Of North American Mammals: A Comprehensive Guide to Mammals of North America. 2009 Dec 15; MobileReference, p. 626.
99. Dever JT, Tanumihardjo SA. Hypervitaminosis A in experimental nonhuman primates: evidence, causes, and the road to recovery. Am J Primatol. 2009 Oct;71(10):813-6. PubMed PMID: 19484706.
100. Kaplan JR, Wagner JD. Type 2 diabetes-an introduction to the development and use of animal models. ILAR J. 2006;47(3):181-5. Review. PubMed PMID: 16804193.
101. Spindler SR. Review of the literature and suggestions for the design of rodent survival studies for the identification of compounds that increase health and life span. Age (Dordr). 2012 Feb;34(1):111-20. Epub 2011 Mar 22. PMID: 21424790
102. Hansen BC, Bodkin NL. Beta-cell hyperresponsiveness: earliest event in development of diabetes in monkeys. Am J Physiol. 1990 Sep;259(3 Pt 2):R612-7. PubMed PMID: 2204282.
103. Hansen BC, Bodkin NL. Primary prevention of diabetes mellitus by prevention of obesity in monkeys. Diabetes. 1993 Dec;42(12):1809-14. PubMed PMID: 8243827.
104. Gresl TA, Colman RJ, Roecker EB, Havighurst TC, Huang Z, Allison DB, Bergman RN, Kemnitz JW. Dietary restriction and glucose regulation in aging rhesus monkeys: a follow-up report at 8.5 yr. Am J Physiol Endocrinol Metab. 2001 Oct;281(4):E757-65. PubMed PMID: 11551852.
105. Masoro EJ. Terminal Weight Loss, Frailty, and Mortality. In: Masoro EJ, Austad SN (Eds), Handbook of the Biology of Aging (Seventh Edition). 2011; Academic Press, San Diego: pp. 321-331. ISBN 9780123786388, DOI:10.1016/B978-0-12-378638-8.00014-2.
106. Shea MK, Houston DK, Nicklas BJ, Messier SP, Davis CC, Miller ME, Harris TB, Kitzman DW, Kennedy K, Kritchevsky SB. The effect of randomization to weight loss on total mortality in older overweight and obese adults: the ADAPT Study. J Gerontol A Biol Sci Med Sci. 2010 May;65(5):519-25. Epub 2010 Jan 15. PubMed PMID: 20080875; PubMed Central PMCID: PMC3107029.
107. Shea MK, Nicklas BJ, Houston DK, Miller ME, Davis CC, Kitzman DW, Espeland MA, Appel LJ, Kritchevsky SB. The effect of intentional weight loss on all-cause mortality in older adults: results of a randomized controlled weight-loss trial. Am J Clin Nutr. 2011 Sep;94(3):839-46. Epub 2011 Jul 20. PubMed PMID: 21775558; PubMed Central PMCID: PMC3155925.
108. Gresl TA, Colman RJ, Havighurst TC, Allison DB, Schoeller DA, Kemnitz JW. Dietary restriction and beta-cell sensitivity to glucose in adult male rhesus monkeys. J Gerontol A Biol Sci Med Sci. 2003 Jul;58(7):598-610. PubMed PMID: 12865475.
109. Berrington de Gonzalez A, Hartge P, Cerhan JR, Flint AJ, Hannan L, MacInnis RJ, Moore SC, Tobias GS, Anton-Culver H, Freeman LB, Beeson WL, Clipp SL, English DR, Folsom AR, Freedman DM, Giles G, Hakansson N, Henderson KD, Hoffman-Bolton J, Hoppin JA, Koenig KL, Lee IM, Linet MS, Park Y, Pocobelli G, Schatzkin A, Sesso HD, Weiderpass E, Willcox BJ, Wolk A, Zeleniuch-Jacquotte A, Willett WC, Thun MJ. Body-mass index and mortality among 1.46 million white adults. N Engl J Med. 2010 Dec 2;363(23):2211-9. Erratum in: N Engl J Med. 2011 Sep 1;365(9):869. PubMed PMID: 21121834; PubMed Central PMCID: PMC3066051.
110. Prospective Studies Collaboration, Whitlock G, Lewington S, Sherliker P, Clarke R, Emberson J, Halsey J, Qizilbash N, Collins R, Peto R. Body-mass index and cause-specific mortality in 900 000 adults: collaborative analyses of 57 prospective studies. Lancet. 2009 Mar 28;373(9669):1083-96. Epub 2009 Mar 18. PubMed PMID: 19299006; PubMed Central PMCID: PMC2662372.
111. Greenberg JA. Correcting biases in estimates of mortality attributable to obesity. Obesity (Silver Spring). 2006 Nov;14(11):2071-9. PubMed PMID: 17135625.
112. Greenberg JA, Fontaine K, Allison DB. Putative biases in estimating mortality attributable to obesity in the US population. Int J Obes (Lond). 2007 Sep;31(9):1449-55. Epub 2007 May 1. PubMed PMID: 17471302.
113. Gregg EW, Cheng YJ, Cadwell BL, Imperatore G, Williams DE, Flegal KM, Narayan KM, Williamson DF. Secular trends in cardiovascular disease risk factors according to body mass index in US adults. JAMA. 2005 Apr 20;293(15):1868-74. Erratum in: JAMA. 2005 Jul 13;294(2):182. PubMed PMID: 15840861.
114. Rosengren A, Eriksson H, Hansson PO, Svärdsudd K, Wilhelmsen L, Johansson S, Welin C, Welin L. Obesity and trends in cardiovascular risk factors over 40 years in Swedish men aged 50. J Intern Med. 2009 Sep;266(3):268-76. Epub 2009 Apr 7. PubMed PMID: 19486264.
115. Alley DE, Chang VW. The changing relationship of obesity and disability, 1988-2004. JAMA. 2007 Nov 7;298(17):2020-7. PubMed PMID: 17986695.
116. Edwards IJ, Rudel LL, Terry JG, Kemnitz JW, Weindruch R, Cefalu WT. Caloric restriction in rhesus monkeys reduces low density lipoprotein interaction with arterial proteoglycans. J Gerontol A Biol Sci Med Sci. 1998 Nov;53(6):B443-8. PubMed PMID: 9823741.
117. Lane MA, Ball SS, Ingram DK, Cutler RG, Engel J, Read V, Roth GS. Diet restriction in rhesus monkeys lowers fasting and glucose-stimulated glucoregulatory end points. Am J Physiol. 1995 May;268(5 Pt 1):E941-8. PubMed PMID: 7762649.
118. Verdery RB, Ingram DK, Roth GS, Lane MA. Caloric restriction increases HDL2 levels in rhesus monkeys (Macaca mulatta). Am J Physiol. 1997 Oct;273(4 Pt 1):E714-9. PubMed PMID: 9357800.
119. Lane MA, Black A, Handy AM, Shapses SA, Tilmont EM, Kiefer TL, Ingram DK, Roth GS. Energy restriction does not alter bone mineral metabolism or reproductive cycling and hormones in female rhesus monkeys. J Nutr. 2001 Mar;131(3):820-7. PubMed PMID: 11238765.
120. Flegal KM, Graubard BI, Williamson DF, Gail MH. Cause-specific excess deaths associated with underweight, overweight, and obesity. JAMA. 2007 Nov 7;298(17):2028-37. PubMed PMID: 17986696.
121. Cecelja M, Chowienczyk P. Dissociation of aortic pulse wave velocity with risk factors for cardiovascular disease other than hypertension: a systematic review. Hypertension. 2009 Dec;54(6):1328-36. doi: 10.1161/HYPERTENSIONAHA.109.137653. Epub 2009 Nov 2. Review. PubMed PMID: 19884567.
122. Zieman SJ, Melenovsky V, Kass DA. Mechanisms, pathophysiology, and therapy of arterial stiffness. Arterioscler Thromb Vasc Biol. 2005 May;25(5):932-43. Epub 2005 Feb 24. Review. PubMed PMID: 15731494.
123. Harris SB, Gunion MW, Rosenthal MJ, Walford RL. Serum glucose, glucose tolerance, corticosterone and free fatty acids during aging in energy restricted mice. Mech Ageing Dev. 1994 Mar;73(3):209-21. PubMed PMID: 8057691.
Consult the full text of this report, as the abstract is poorly-phrased and tends to suggest the opposite of the actual findings.
124. Lamming DW, Ye L, Katajisto P, Goncalves MD, Saitoh M, Stevens DM, Davis JG, Salmon AB, Richardson A, Ahima RS, Guertin DA, Sabatini DM, Baur JA. Rapamycin-induced insulin resistance is mediated by mTORC2 loss and uncoupled from longevity. Science. 2012 Mar 30;335(6076):1638-43. doi: 10.1126/science.1215135. PubMed PMID: 22461615; PubMed Central PMCID: PMC3324089.
125. Deblon N, Bourgoin L, Veyrat-Durebex C, Peyrou M, Vinciguerra M, Caillon A, Maeder C, Fournier M, Montet X, Rohner-Jeanrenaud F, Foti M. Chronic mTOR inhibition by rapamycin induces muscle insulin resistance despite weight loss in rats. Br J Pharmacol. 2012 Apr;165(7):2325-40. doi: 10.1111/j.1476-5381.2011.01716.x. PubMed PMID: 22014210; PubMed Central PMCID: PMC3413866.
126. Luque RM, Lin Q, Córdoba-Chacón J, Subbaiah PV, Buch T, Waisman A, Vankelecom H, Kineman RD. Metabolic impact of adult-onset, isolated, growth hormone deficiency (AOiGHD) due to destruction of pituitary somatotropes. PLoS One. 2011 Jan 19;6(1):e15767. PMID: 21283519
127. Blagosklonny MV. Once again on rapamycin-induced insulin resistance and longevity: despite of or owing to. Aging (Albany NY). 2012 May;4(5):350-8. Review. PubMed PMID: 22683661; PubMed Central PMCID: PMC3384435.
128. Rincon M, Muzumdar R, Atzmon G, Barzilai N. The paradox of the insulin/IGF-1 signaling pathway in longevity. Mech Ageing Dev. 2004 Jun;125(6):397-403. Review. PubMed PMID: 15272501.
129. Liu JL, Coschigano KT, Robertson K, Lipsett M, Guo Y, Kopchick JJ, Kumar U, Liu YL. Disruption of growth hormone receptor gene causes diminished pancreatic islet size and increased insulin sensitivity in mice. Am J Physiol Endocrinol Metab. 2004 Sep;287(3):E405-13. Epub 2004 May 11. PubMed PMID: 15138153.
130. Parsons JA, Bartke A, Sorenson RL. Number and size of islets of Langerhans in pregnant, human growth hormone-expressing transgenic, and pituitary dwarf mice: effect of lactogenic hormones. Endocrinology. 1995 May;136(5):2013-21. PubMed PMID: 7720649.
131. Fontana L, Meyer TE, Klein S, Holloszy JO. Long-term low-calorie low-protein vegan diet and endurance exercise are associated with low cardiometabolic risk. Rejuvenation Res. 2007 Jun;10(2):225-34. PubMed PMID: 17518696.
132. Fontana L, Klein S, Holloszy JO. Long-term low-protein, low-calorie diet and endurance exercise modulate metabolic factors associated with cancer risk. Am J Clin Nutr. 2006 Dec;84(6):1456-62. PubMed PMID: 17158430.
133. Fontana L. Calorie Restriction and Longevity: Metabolic and Cardiovascular Effects of a Long-Term CR Diet in Humans. Presentation at the Second Calorie Restriction Society Conference (CR-II). June 5-8, 2003; Madison, WI.
134. Carmody RN, Wrangham RW. The energetic significance of cooking. J Hum Evol. 2009 Oct;57(4):379-91. doi: 10.1016/j.jhevol.2009.02.011. Epub 2009 Sep 3. PubMed PMID: 19732938.
135. Carmody RN, Weintraub GS, Wrangham RW. Energetic consequences of thermal and nonthermal food processing. Proc Natl Acad Sci U S A. 2011 Nov 29;108(48):19199-203. doi: 10.1073/pnas.1112128108. Epub 2011 Nov 7. PubMed PMID: 22065771; PubMed Central PMCID: PMC3228431.
136. Koebnick C, Garcia AL, Dagnelie PC, Strassner C, Lindemans J, Katz N, Leitzmann C, Hoffmann I. Long-term consumption of a raw food diet is associated with favorable serum LDL cholesterol and triglycerides but also with elevated plasma homocysteine and low serum HDL cholesterol in humans. J Nutr. 2005 Oct;135(10):2372-8. PubMed PMID: 16177198.
137. Appel LJ, Moore TJ, Obarzanek E, Vollmer WM, Svetkey LP, Sacks FM, Bray GA, Vogt TM, Cutler JA, Windhauser MM, Lin PH, Karanja N. A clinical trial of the effects of dietary patterns on blood pressure. DASH Collaborative Research Group. N Engl J Med. 1997 Apr 17;336(16):1117-24. PubMed PMID: 9099655.
138. Appel LJ, Sacks FM, Carey VJ, Obarzanek E, Swain JF, Miller ER 3rd, Conlin PR, Erlinger TP, Rosner BA, Laranjo NM, Charleston J, McCarron P, Bishop LM; OmniHeart Collaborative Research Group. Effects of protein, monounsaturated fat, and carbohydrate intake on blood pressure and serum lipids: results of the OmniHeart randomized trial. JAMA. 2005 Nov 16;294(19):2455-64. PubMed PMID: 16287956.
139. Estruch R, Martínez-González MA, Corella D, Salas-Salvadó J, Ruiz-Gutiérrez V, Covas MI, Fiol M, Gómez-Gracia E, López-Sabater MC, Vinyoles E,Arós F, Conde M, Lahoz C, Lapetra J, Sáez G, Ros E; PREDIMED Study Investigators. Effects of a Mediterranean-style diet on cardiovascular risk factors: a randomized trial. Ann Intern Med. 2006 Jul 4;145(1):1-11. PubMed PMID: 16818923.
140. Jenkins DJ, Jones PJ, Lamarche B, Kendall CW, Faulkner D, Cermakova L, Gigleux I, Ramprasath V, de Souza R, Ireland C, Patel D, Srichaikul K, Abdulnour S, Bashyam B, Collier C, Hoshizaki S, Josse RG, Leiter LA, Connelly PW, Frohlich J. Effect of a dietary portfolio of cholesterol-lowering foods given at 2 levels of intensity of dietary advice on serum lipids in hyperlipidemia: a randomized controlled trial. JAMA. 2011 Aug 24;306(8):831-9. doi: 10.1001/jama.2011.1202. PubMed PMID: 21862744.
141. Leung AM, Lamar A, He X, Braverman LE, Pearce EN. Iodine status and thyroid function of Boston-area vegetarians and vegans. J Clin Endocrinol Metab. 2011 Aug;96(8):E1303-7. doi: 10.1210/jc.2011-0256. Epub 2011 May 25. PubMed PMID: 21613354; PubMed Central PMCID: PMC3206519.
141. Pawlak R, Parrott SJ, Raj S, Cullum-Dugan, D Lucus, D. How prevalent is vitamin B12 deficiency among vegetarians? Nutr Rev. 2013 Feb;71(2):110–7. doi: 10.1111/nure.12001
143. Kwok T, Chook P, Qiao M, Tam L, Poon YK, Ahuja AT, Woo J, Celermajer DS, Woo KS. Vitamin B-12 supplementation improves arterial function in vegetarians with subnormal vitamin B-12 status. J Nutr Health Aging. 2012;16(6):569-73. PubMed PMID: 22659999.
144. Lecoultre V, Ravussin E, Redman LM. The fall in leptin concentration is a major determinant of the metabolic adaptation induced by caloric restriction independently of the changes in leptin circadian rhythms. J Clin Endocrinol Metab. 2011 Sep;96(9):E1512-6. doi: 10.1210/jc.2011-1286. Epub 2011 Jul 21. PubMed PMID: 21778216; PubMed Central PMCID: PMC3167663.
145. Redman LM, Veldhuis JD, Rood J, Smith SR, Williamson D, Ravussin E; Pennington CALERIE Team. The effect of caloric restriction interventions on growth hormone secretion in nonobese men and women. Aging Cell. 2010 Feb;9(1):32-9. doi: 10.1111/j.1474-9726.2009.00530.x. Epub 2009 Oct 30. PubMed PMID: 19878147; PubMed Central PMCID: PMC2807912.
146. Perls TT, Fretts RC. Why Women Live Longer Than Men. Scientific American Presents Women’s Health: A Lifelong Guide.1998 Jun; 9(2):100–4.
147. Mattison JA, Black A, Huck J, Moscrip T, Handy A, Tilmont E, Roth GS, Lane MA, Ingram DK. Age-related decline in caloric intake and motivation for food in rhesus monkeys. Neurobiol Aging. 2005 Jul;26(7):1117-27. Epub 2004 Dec 10. PubMed PMID: 15748792.
148. Minor RK, Chang JW, de Cabo R. Hungry for life: How the arcuate nucleus and neuropeptide Y may play a critical role in mediating the benefits of calorie restriction. Mol Cell Endocrinol. 2009 Feb 5;299(1):79-88. doi: 10.1016/j.mce.2008.10.044. Epub 2008 Nov 11. Review. PubMed PMID: 19041366; PubMed Central PMCID: PMC2668104.
149. Minor RK, López M, Younts CM, Jones B, Pearson KJ, Anson RM, Diéguez C, de Cabo R. The arcuate nucleus and neuropeptide Y contribute to the antitumorigenic effect of calorie restriction. Aging Cell. 2011 Jun;10(3):483-92. doi: 10.1111/j.1474-9726.2011.00693.x. Epub 2011 Apr 5. PubMed PMID: 21385308; PubMed Central PMCID: PMC3094497.
150. Smith DL Jr, Robertson HT, Desmond RA, Nagy TR, Allison DB. No compelling evidence that sibutramine prolongs life in rodents despite providing a dose-dependent reduction in body weight. Int J Obes (Lond). 2011 May;35(5):652-7. doi: 10.1038/ijo.2010.247. Epub 2010 Nov 16. PubMed PMID: 21079617; PubMed Central PMCID: PMC3091992.
151. Levin BE, Dunn-Meynell AA. Sibutramine alters the central mechanisms regulating the defended body weight in diet-induced obese rats. Am J Physiol Regul Integr Comp Physiol. 2000 Dec;279(6):R2222-8. PubMed PMID: 11080089.
152. Baranowska B, Wolińska-Witort E, MartyńskaL, Chmielowska M, Mazurczak-Pluta T, Boguradzka A, Baranowska-Bik A. Sibutramine therapy in obese women—effects on plasma neuropeptide Y (NPY), insulin, leptin and beta-endorphin concentrations. Neuro Endocrinol Lett. 2005 Dec;26(6):675-9. PubMed PMID: 16380708.
153. Jackson HC, Bearham MC, Hutchins LJ, Mazurkiewicz SE, Needham AM, Heal DJ. Investigation of the mechanisms underlying the hypophagic effects of the 5-HT and noradrenaline reuptake inhibitor, sibutramine, in the rat. Br J Pharmacol. 1997 Aug;121(8):1613-8. PubMed PMID: 9283694; PubMed Central PMCID: PMC1564868.
154. Currie PJ, Coiro CD, Niyomchai T, Lira A, Farahmand F. Hypothalamic paraventricular 5-hydroxytryptamine: receptor-specific inhibition of NPY-stimulated eating and energy metabolism. Pharmacol Biochem Behav. 2002 Apr;71(4):709-16. PubMed PMID: 11888562.
155. Hambly C, Mercer JG, Speakman JR. Hunger does not diminish over time in mice under protracted caloric restriction. Rejuvenation Res. 2007 Dec;10(4):533-42. PubMed PMID: 17990972.
156. Bi S, Robinson BM, Moran TH. Acute food deprivation and chronic food restriction differentially affect hypothalamic NPY mRNA expression. Am J Physiol Regul Integr Comp Physiol. 2003 Nov;285(5):R1030-6. Epub 2003 Jul 3. PubMed PMID: 12842868.
157. Roth GS, Blackman MR, Ingram DK, Lane MA, Ball SS, Cutler RG. Age related changes in androgen levels of rhesus monkeys subjected to diet restriction. Endocrine J. 1:227–234. (Cited by (61,97))
158. Lane MA, Black A, Ingram DK, Roth GS. Calorie restriction in nonhuman primates: implications for age-related disease risk. J Anti-Aging Med. 1998 Winter;1(4):315-326.
159. Hewitt HB, Munro TR. Is atherosclerosis reversible? Br Med J. 1964 Dec 12;2(5423):1477-8. PMID: 14214178 [PubMed – indexed for MEDLINE]
160. Wissler RW, Vesselinovitch D. Studies of regression of advanced atherosclerosis in experimental animals and man. Ann N Y Acad Sci. 1976;275:363-78. PubMed PMID: 827228.
161. Roth GS, Handy AM, Mattison JA, Tilmont EM, Ingram DK, Lane MA. Effects of dietary caloric restriction and aging on thyroid hormones of rhesus monkeys. Horm Metab Res. 2002 Jul;34(7):378-82. PubMed PMID: 12189585.
162. Allen CD, Waser B, Körner M, Reubi JC, Lee S, Rivier C. Neuropeptide Y acts within the rat testis to inhibit testosterone secretion. Neuropeptides. 2011 Feb;45(1):55-61. doi: 10.1016/j.npep.2010.10.006. Epub 2010 Nov 26. PubMed PMID: 21112087; PubMed Central PMCID: PMC3053052.
163. Amstalden M, Alves BR, Liu S, Cardoso RC, Williams GL. Neuroendocrine pathways mediating nutritional acceleration of puberty: insights from ruminant models. Front Endocrinol (Lausanne). 2011;2:109. doi: 10.3389/fendo.2011.00109. Epub 2011 Dec 27. PubMed PMID: 22654842; PubMed Central PMCID: PMC3356117.
164. Wójcik-Gładysz A, Polkowska J. Neuropeptide Y—a neuromodulatory link between nutrition and reproduction at the central nervous system level. Reprod Biol. 2006;6 Suppl 2:21-8. Review. PubMed PMID: 17220938.
165. Ichimaru T, Mori Y, Okamura H. A possible role of neuropeptide Y as a mediator of undernutrition to the hypothalamic gonadotropin-releasing hormone pulse generator in goats. Endocrinology. 2001 Jun;142(6):2489-98. PubMed PMID: 11356698.
166. El Majdoubi M, Sahu A, Ramaswamy S, Plant TM. Neuropeptide Y: A hypothalamic brake restraining the onset of puberty in primates. Proc Natl Acad Sci U S A. 2000 May 23;97(11):6179-84. PubMed PMID: 10811877; PubMed Central PMCID: PMC18578.
167. Fekete C, Kelly J, Mihály E, Sarkar S, Rand WM, Légrádi G, Emerson CH, Lechan RM. Neuropeptide Y has a central inhibitory action on the hypothalamic-pituitary-thyroid axis. Endocrinology. 2001 Jun;142(6):2606-13. PubMed PMID: 11356711.
168. Vella KR, Ramadoss P, Lam FS, Harris JC, Ye FD, Same PD, O’Neill NF, Maratos-Flier E, Hollenberg AN. NPY and MC4R signaling regulate thyroid hormone levels during fasting through both central and peripheral pathways. Cell Metab. 2011 Dec 7;14(6):780-90. doi: 10.1016/j.cmet.2011.10.009. Epub 2011 Nov 17. PubMed PMID: 22100407; PubMed Central PMCID: PMC3261758.
169. Nordheim U, Hofbauer KG. Stimulation of NPY Y2 receptors by PYY3-36 reveals divergent cardiovascular effects of endogenous NPY in rats on different dietary regimens. Am J Physiol Regul Integr Comp Physiol. 2004 Jan;286(1):R138-42. Epub 2003 Oct 9. PubMed PMID: 14551170.
170. Michalkiewicz M, Knestaut KM, Bytchkova EY, Michalkiewicz T. Hypotension and reduced catecholamines in neuropeptide Y transgenic rats. Hypertension. 2003 May;41(5):1056-62. Epub 2003 Mar 31. PubMed PMID: 12668588.
171. VanNess JM, DeMaria JE, Overton JM. Increased NPY activity in the PVN contributes to food-restriction induced reductions in blood pressure in aortic coarctation hypertensive rats. Brain Res. 1999 Mar 13;821(2):263-9. PubMed PMID: 10064812.
172. Lane MA, Baer DJ, Tilmont EM, Rumpler WV, Ingram DK, Roth GS, Cutler RG. Energy balance in rhesus monkeys (Macaca mulatta) subjected to long-term dietary restriction. J Gerontol A Biol Sci Med Sci. 1995 Sep;50(5):B295-302. PubMed PMID: 7671021.
173. Lane MA, Ingram DK, Roth GS. Calorie restriction in nonhuman primates: effects on diabetes and cardiovascular disease risk. Toxicol Sci. 1999 Dec;52(2 Suppl):41-8. PubMed PMID: 10630589.
174. Fooden J. Systematic review of the rhesus macaque, Macaca mulatta (Zimmermann, 1780). Field Zool. 2000 Jun 30;96:1-180.
175. American College of Sports Medicine (2001). ACSM’s resource manual for Guidelines for exercise testing & prescription. 4th Ed. 2004; Philadelphia, PA: Lippincott Williams & Wilkins.
176. American Council on Exercise. ACE Lifestyle & Weight Management Consultant Manual: the Ultimate Resource for Fitness Professionals. 2nd Ed. 2009; Monterey, CA: American Council on Exercise/Healthy Learning.
177. de Rijke CE, Hillebrand JJ, Verhagen LA, Roeling TA, Adan RA. Hypothalamic neuropeptide expression following chronic food restriction in sedentary and wheel-running rats. J Mol Endocrinol. 2005 Oct;35(2):381-90. PubMed PMID: 16216917.
178. Vallejo EA. La dieta de hambre a dias alternos in la alimentacion de los viejos. [A fasting diet on alternate days in the feeding of the elderly]. Rev Clin Esp. 1957 Oct 15;63(1):25–27 (Spanish; Rough English Translation).
179. Stunkard AJ. Nutrition, aging and obesity. In: Rockstein M, Sussman ML (Eds), Nutrition, longevity, and aging: Proceedings of a Symposium on Nutrition, Longevity, and Aging, held in Miami, Florida, February 26-27, 1976. New York: Academic Press, 1976:253–84.
180. Basu S, Yoffe P, Hills N, Lustig RH. The Relationship of Sugar to Population-Level Diabetes Prevalence: An Econometric Analysis of Repeated Cross-Sectional Data. PLoS ONE. 2013 Feb 17;8(2): e57873. doi:10.1371/journal.pone.0057873
181. Speakman JR, Hambly C. Starving for life: what animal studies can and cannot tell us about the use of caloric restriction to prolong human lifespan. J Nutr. 2007 Apr;137(4):1078-86. Review. PubMed PMID: 17374682.
182. Johnson JB, Laub DR, John S. The effect on health of alternate day calorie restriction: eating less and more than needed on alternate days prolongs life. Med Hypotheses. 2006;67(2):209-11. Epub 2006 Mar 10. PubMed PMID: 16529878.
183. Shea MK, Houston DK, Nicklas BJ, Messier SP, Davis CC, Miller ME, Harris TB, Kitzman DW, Kennedy K, Kritchevsky SB. The effect of randomization to weight loss on total mortality in older overweight and obese adults: the ADAPT Study. J Gerontol A Biol Sci Med Sci. 2010 May;65(5):519-25. doi: 10.1093/gerona/glp217. Epub 2010 Jan 15. PubMed PMID: 20080875; PubMed Central PMCID: PMC3107029.
184. Shea MK, Nicklas BJ, Houston DK, Miller ME, Davis CC, Kitzman DW, Espeland MA, Appel LJ, Kritchevsky SB. The effect of intentional weight loss on all-cause mortality in older adults: results of a randomized controlled weight-loss trial. Am J Clin Nutr. 2011 Sep;94(3):839-46. doi: 10.3945/ajcn.110.006379. Epub 2011 Jul 20. PubMed PMID: 21775558; PubMed Central PMCID: PMC3155925.
185. Sjöström L, NarbroK, Sjöström CD, Karason K, Larsson B, Wedel H, Lystig T, Sullivan M, Bouchard C, Carlsson B, Bengtsson C, Dahlgren S, Gummesson A, Jacobson P, Karlsson J, Lindroos AK, Lönroth H, Näslund I, Olbers T, Stenlöf K, Torgerson J, Agren G, Carlsson LM; Swedish Obese Subjects Study. Effects of bariatric surgery on mortality in Swedish obese subjects. N Engl J Med. 2007 Aug 23;357(8):741-52. PubMed PMID: 17715408.
186. Sjöström L, Peltonen M, Jacobson P, Sjöström CD, Karason K, Wedel H, Ahlin S, Anveden Å, Bengtsson C, Bergmark G, Bouchard C, Carlsson B, Dahlgren S, Karlsson J, Lindroos AK, Lönroth H, Narbro K, Näslund I, Olbers T, Svensson PA, Carlsson LM. Bariatric surgery and long-term cardiovascular events. JAMA. 2012 Jan 4;307(1):56-65. doi: 10.1001/jama.2011.1914. PubMed PMID: 22215166.
187. Adams TD, Stroup AM, Gress RE, Adams KF, Calle EE, Smith SC, Halverson RC, Simper SC, Hopkins PN, Hunt SC. Cancer incidence and mortality after gastric bypass surgery. Obesity (Silver Spring). 2009 Apr;17(4):796-802. doi: 10.1038/oby.2008.610. Epub 2009 Jan 15. PubMed PMID: 19148123; PubMed Central PMCID: PMC2859193.
188. Adams TD, Gress RE, Smith SC, Halverson RC, Simper SC, Rosamond WD, Lamonte MJ, Stroup AM, Hunt SC. Long-term mortality after gastric bypass surgery. N Engl J Med. 2007 Aug 23;357(8):753-61. PubMed PMID: 17715409.
189. Christou NV, Sampalis JS, Liberman M, Look D, Auger S, McLean AP, MacLean LD. Surgery decreases long-term mortality, morbidity, and health care use in morbidly obese patients. Ann Surg. 2004 Sep;240(3):416-23; discussion 423-4. PubMed PMID: 15319713; PubMed Central PMCID: PMC1356432.
190. Bamgbade OA, Rutter TW, Nafiu OO, Dorje P. Postoperative complications in obese and nonobese patients. World J Surg. 2007 Mar;31(3):556-60; discussion 561. PubMed PMID: 16957821.
191. Kristjuhan U, Taidre E. The last recession was good for life expectancy. Rejuvenation Res. 2012 Apr;15(2):134-5. doi: 10.1089/rej.2011.1253. PubMed PMID: 22533416.
192. Tapia Granados JA, Diez Roux AV. Life and death during the Great Depression. Proc Natl Acad Sci U S A. 2009 Oct 13;106(41):17290-5. doi: 10.1073/pnas.0904491106. Epub 2009 Sep 28. PubMed PMID: 19805076; PubMed Central PMCID: PMC2765209.
193. Franco M, Orduñez P, Caballero B, Tapia Granados JA, Lazo M, Bernal JL, Guallar E, Cooper RS. Impact of energy intake, physical activity, and population-wide weight loss on cardiovascular disease and diabetes mortality in Cuba, 1980-2005. Am J Epidemiol. 2007 Dec 15;166(12):1374-80. Epub 2007 Sep 19. PubMed PMID: 17881386.
194. Ruhm CJ. A healthy economy can break your heart. Demography. 2007 Nov;44(4):829-48. PubMed PMID: 18232214.
195. Gerdtham U-G, Ruhm CJ. Deaths rise in good economic times: Evidence from the OECD. Econ Hum Bio. 2006 Dec;4(3): 298-316.
196. Khang YH, Lynch JW, Kaplan GA. Impact of economic crisis on cause-specific mortality in South Korea. Int J Epidemiol. 2005 Dec;34(6):1291-301. PubMed PMID: 16338946.
197. Neumayer E. Recessions lower (some) mortality rates: evidence from Germany. Soc Sci Med. 2004 Mar;58(6):1037-47. Erratum in: Soc Sci Med. 2004 Nov;59(9):1993. PubMed PMID: 14723900.
198. Ruhm CJ. Are Recessions Good For Your Health? Q J Econ. 2000 May;115(2): 617-50. doi: 10.1162/003355300554872
199. Willcox DC, Willcox BJ, Todoriki H, Curb JD, Suzuki M. Caloric restriction and human longevity: what can we learn from the Okinawans? Biogerontology. 2006 Jun;7(3):173-7. PubMed PMID: 16810568.
200. Kagawa Y. Impact of Westernization on the nutrition of Japanese: changes in physique, cancer, longevity and centenarians. Prev Med. 1978 Jun;7(2):205-17. PubMed PMID: 674107.
201. Yamada T, Kadekaru H, Matsumoto S, Inada H, Tanabe M, Moriguchi EH, Moriguchi Y, Ishikawa P, Ishikawa AG, Taira K, Yamori Y. Prevalence of dementia in the older Japanese-Brazilian population. Psychiatry Clin Neurosci. 2002 Feb;56(1):71-5. PubMed PMID: 11929573.
202. Suzuki M, Wilcox BJ, Wilcox CD. Implications from and for food cultures for cardiovascular disease: longevity. Asia Pac J Clin Nutr. 2001;10(2):165-71. Review. PubMed PMID: 11710359.
203. Moriguchi Y. Japanese centenarians living outside Japan. In: Tauchi H, Sato T, Watanabe T (eds). Japanese Centenarians: Medical Research for the Final Stages of Human Aging. 1999;Institute for Medical Science of Aging, Aichi, Japan: 85-94.
204. Perls TT, Wilmoth J, Levenson R, Drinkwater M, Cohen M, Bogan H, Joyce E, Brewster S, Kunkel L, Puca A. Life-long sustained mortality advantage of siblings of centenarians. Proc Natl Acad Sci U S A. 2002 Jun 11;99(12):8442-7. PubMed PMID: 12060785; PubMed Central PMCID: PMC123086.
205. vB Hjelmborg J, Iachine I, Skytthe A, Vaupel JW, McGue M, Koskenvuo M, Kaprio J, Pedersen NL, Christensen K. Genetic influence on human lifespan and longevity. Hum Genet. 2006 Apr;119(3):312-21. Epub 2006 Feb 4. PubMed PMID: 16463022.
206. Caselli G, Pozzi L, Vaupel JW, Deiana L, Pes G, Carru C, Franceschi C, Baggio G. Family clustering in Sardinian longevity: a genealogical approach. Exp Gerontol. 2006 Aug;41(8):727-36. Epub 2006 Jun 21. PubMed PMID: 16793232.
207. Atzmon G, Schechter C, Greiner W, Davidson D, Rennert G, Barzilai N. Clinical phenotype of families with longevity. J Am Geriatr Soc. 2004 Feb;52(2):274-7. PubMed PMID: 14728640.
208. Willcox DC, Willcox BJ, Hsueh WC, Suzuki M. Genetic determinants of exceptional human longevity: insights from the Okinawa Centenarian Study. Age (Dordr). 2006 Dec;28(4):313-32. doi: 10.1007/s11357-006-9020-x. Epub 2006 Dec 8. PubMed PMID: 22253498; PubMed Central PMCID: PMC3259160.
209. Mizushima S, Moriguchi EH, Nakada Y, Biosca MDG, Nara Y, Murakami K, Horie R, Moriguchi Y, Mimura G, Yamori Y. The relationship of dietary factors to cardiovascular diseases among Japanese in Okinawa and Japanese immigrants, originally from Okinawa, in Brazil. Hypertension Res. 1992;15(1):45-55.
210. Todoriki H, Willcox DC, Willcox BJ (2004) The effects of post-war dietary change on longevity and health in Okinawa. Okinawan J Am Stud 1:55-64.
211. Willcox BJ, Willcox DC, Todoriki H, Fujiyoshi A, Yano K, He Q, Curb JD, Suzuki M. Caloric restriction, the traditional Okinawan diet, and healthy aging: the diet of the world’s longest-lived people and its potential impact on morbidity and life span. Ann N Y Acad Sci. 2007 Oct;1114:434-55. PMID: 17986602
212. Cockerham WC, Yamori Y (2001) Okinawa: an exception to the social gradient of life expectancy in Japan. Asia Pac J Clin Nutr 10(2):154-8.
213. Hokama T, Aragaki H, Sho H, Inafuku S. Nutritional survey of school children in Okinawa III : Johoku Elementary School (Department of Home Economics). Sci Bull Coll Agr Univ Ryukyus. 1967 Oct 1;14:199-212. [Japanese]
214. Sho H. History and characteristics of Okinawan longevity food. Asia Pac J Clin Nutr. 2001;10(2):159-64. PubMed PMID: 11710358.
215. Akisaka M, Asato L, Chan YC, Suzuki M, Uezato T, Yamamoto S. Energy and nutrient intakes of Okinawan centenarians. J Nutr Sci Vitaminol (Tokyo). 1996 Jun;42(3):241-8. PubMed PMID: 8866260.
216. Rajpathak SN, Liu Y, Ben-David O, Reddy S, Atzmon G, Crandall J, Barzilai N. Lifestyle factors of people with exceptional longevity. J Am Geriatr Soc. 2011 Aug;59(8):1509-12. doi: 10.1111/j.1532-5415.2011.03498.x. Epub 2011 Aug 3. PubMed PMID: 21812767.
217. Westendorp RG, van Heemst D, Rozing MP, Frölich M, Mooijaart SP, Blauw GJ, Beekman M, Heijmans BT, de Craen AJ, Slagboom PE; Leiden Longevity Study Group. Nonagenarian siblings and their offspring display lower risk of mortality and morbidity than sporadic nonagenarians: The Leiden Longevity Study. J Am Geriatr Soc. 2009 Sep;57(9):1634-7. doi: 10.1111/j.1532-5415.2009.02381.x. Epub 2009 Jul 17. PubMed PMID: 19682117.
218. Lane MA, Ingram DK, Cutler RG, Knapka JJ, Barnard DE, Roth GS. Dietary restriction in nonhuman primates: progress report on the NIA study. Ann N Y Acad Sci. 1992 Dec 26;673:36-45. PubMed PMID: 1485732.
219. Sohal RS, Ferguson M, Sohal BH, Forster MJ. Life span extension in mice by food restriction depends on an energy imbalance. J Nutr. 2009 Mar;139(3):533-9. doi: 10.3945/jn.108.100313. Epub 2009 Jan 13. PubMed PMID: 19141702; PubMed Central PMCID: PMC2646218.
220. Hempenstall S, Picchio L, Mitchell SE, Speakman JR, Selman C. The impact of acute caloric restriction on the metabolic phenotype in male C57BL/6 and DBA/2 mice. Mech Ageing Dev. 2010 Feb;131(2):111-8. doi: 10.1016/j.mad.2009.12.008. Epub 2010 Jan 12. PubMed PMID: 20064544.
221. Brzek P, Ksiazek A, Dobrzyn A, Konarzewski M. Effect of dietary restriction on metabolic, anatomic and molecular traits in mice depends on the initial level of basal metabolic rate. J Exp Biol. 2012 Sep 15;215(Pt 18):3191-9. doi: 10.1242/jeb.065318. Epub 2012 Jun 1. PubMed PMID: 22660785.
222. Goodrick CL, Ingram DK, Reynolds MA, Freeman JR, Cider N. Effects of intermittent feeding upon body weight and lifespan in inbred mice: interaction of genotype and age. Mech Ageing Dev. 1990 Jul;55(1):69-87. PubMed PMID: 2402168.
223. Andrikopoulos S, Massa CM, Aston-Mourney K, Funkat A, Fam BC, Hull RL, Kahn SE, Proietto J. Differential effect of inbred mouse strain (C57BL/6, DBA/2, 129T2) on insulin secretory function in response to a high fat diet. J Endocrinol. 2005 Oct;187(1):45-53. PubMed PMID: 16214940.
224. Zraika S, Aston-Mourney K, Laybutt DR, Kebede M, Dunlop ME, Proietto J, Andrikopoulos S. The influence of genetic background on the induction of oxidative stress and impaired insulin secretion in mouse islets. Diabetologia. 2006 Jun;49(6):1254-63. Epub 2006 Mar 29. PubMed PMID: 16570159.
225. Funkat A, Massa CM, Jovanovska V, Proietto J, Andrikopoulos S. Metabolic adaptations of three inbred strains of mice (C57BL/6, DBA/2, and 129T2) in response to a high-fat diet. J Nutr. 2004 Dec;134(12):3264-9. PubMed PMID: 15570023.
226. Goren HJ, Kulkarni RN, Kahn CR. Glucose homeostasis and tissue transcript content of insulin signaling intermediates in four inbred strains of mice: C57BL/6, C57BLKS/6, DBA/2, and 129X1. Endocrinology. 2004 Jul;145(7):3307-23. Epub 2004 Mar 24. PubMed PMID: 15044376.
226. Redman LM, Heilbronn LK, Martin CK, Alfonso A, Smith SR, Ravussin E; Pennington CALERIE Team. Effect of calorie restriction with or without exercise on body composition and fat distribution. J Clin Endocrinol Metab. 2007 Mar;92(3):865-72. Epub 2007 Jan 2. PubMed PMID: 17200169; PubMed Central PMCID: PMC2692618.
227. Vasto S, Scapagnini G, Rizzo C, Monastero R, Marchese A, Caruso C. Mediterranean diet and longevity in Sicily: survey in a Sicani Mountains population. Rejuvenation Res. 2012 Apr;15(2):184-8. doi: 10.1089/rej.2011.1280. PubMed PMID: 22533429.
228. Kannisto V. The advancing frontier of survival: life tables for old age. Monographs on Population Aging, 3.1996; Odense University Press, Odense. (See Table 20).
229 Vasto S, Rizzo C, Caruso C. Centenarians and diet: what they eat in the Western part of Sicily. Immun Ageing. 2012 Apr 23;9(1):10. doi: 10.1186/1742-4933-9-10. PubMed PMID: 22524271; PubMed Central PMCID: PMC3412743.
230. Caruso C, Marchese A, Rizzo C, Vasto S. Mediterranean diet and longevity in Sicily: a survey in Sicani mountain population. Presentation at the Fifth Strategies for Engineered Negligible Senescence scientific conference (SENS5). Saturday, September 3, 2009, 14:45. Rejuvenation Res. 2011 Aug;14(Suppl 1):S16 (Abs 16).
231. Rapczynski J. The Italian Immigrant Experience in America (1870-1920). Immigration and American Life. 1999 Volume III; Curriculum Unit 99.03.06. Yale-New Haven Teachers Institute.
232. Atkinson R. The Day of Battle: The War in Sicily and Italy, 1943-1944. 2007; Macmillan, ISBN 1429920106. Pp. 55, 114, 246, 295,447.
233. Lio D, Balistreri CR, Colonna-Romano G, Motta M, Franceschi C, Malaguarnera M, Candore G, Caruso C. Association between the MHC class I gene HFE polymorphisms and longevity: a study in Sicilian population. Genes Immun. 2002 Feb;3(1):20-4. PubMed PMID: 11857056.
234. Marchal J, Blanc S, Epelbaum J, Aujard F, Pifferi F. Effects of chronic calorie restriction or dietary resveratrol supplementation on insulin sensitivity markers in a primate, Microcebus murinus. PLoS One. 2012;7(3):e34289. doi: 10.1371/journal.pone.0034289. Epub 2012 Mar 30. PubMed PMID: 22479589; PubMed Central PMCID: PMC3316613.
235. Dal-Pan A, Pifferi F, Marchal J, Picq JL, Aujard F; RESTRIKAL Consortium. Cognitive performances are selectively enhanced during chronic caloric restriction or resveratrol supplementation in a primate. PLoS One. 2011 Jan 31;6(1):e16581. doi: 10.1371/journal.pone.0016581. PubMed PMID: 21304942; PubMed Central PMCID: PMC3031601.
236. Dal-Pan A, Terrien J, Pifferi F, Botalla R, Hardy I, Marchal J, Zahariev A, Chery I, Zizzari P, Perret M, Picq JL, Epelbaum J, Blanc S, Aujard F. Caloric restriction or resveratrol supplementation and ageing in a non-human primate: first-year outcome of the RESTRIKAL study in Microcebus murinus. Age (Dordr). 2011 Mar;33(1):15-31. doi: 10.1007/s11357-010-9156-6. Epub 2010 Jun 9. PubMed PMID: 20532988; PubMed Central PMCID: PMC3063642.
237. Austad SN, Fischer KE. The development of small primate models for aging research. ILAR J. 2011 Feb 8;52(1):78-88. Review. PubMed PMID: 21411860.
238. Personal correspondence, Calogero Caruso, 2011/10/15
229. Minor RK, Allard JS, Younts CM, Ward TM, de Cabo R. Dietary interventions to extend life span and health span based on calorie restriction. J Gerontol A Biol Sci Med Sci. 2010 Jul;65(7):695-703. doi: 10.1093/gerona/glq042. Epub 2010 Apr 6. Review. PubMed PMID: 20371545; PubMed Central PMCID: PMC2884086.
230. Lamming DW, Ye L, Sabatini DM, Baur JA. Rapalogs and mTOR inhibitors as anti-aging therapeutics. J Clin Invest. 2013 Mar 1;123(3):980-9. doi: 10.1172/JCI64099. Epub 2013 Mar 1. Review. PubMed PMID: 23454761; PubMed Central PMCID: PMC3582126.
231. Fontana L, Partridge L, Longo VD. Extending healthy life span — from yeast to humans. Science. 2010 Apr 16;328(5976):321-6. doi: 10.1126/science.1172539. Review. PubMed PMID: 20395504; PubMed Central PMCID: PMC3607354.
232. Baur JA, Ungvari Z, Minor RK, Le Couteur DG, de Cabo R. Are sirtuins viable targets for improving healthspan and lifespan? Nat Rev Drug Discov. 2012 Jun 1;11(6):443-61. doi: 10.1038/nrd3738. Review. PubMed PMID: 22653216.
233. Kirkland JL. Translating advances from the basic biology of aging into clinical application. Exp Gerontol. 2013 Jan;48(1):1-5. doi: 10.1016/j.exger.2012.11.014. Epub 2012 Dec 10. PubMed PMID: 23237984; PubMed Central PMCID: PMC3543864.
234. Rae MJ. SENS Foundation: Accelerating Progress toward Biomedical Rejuvenation. In Fahy GM, West M, Coles LS, Harris SB (eds), The Future of Aging. 2010; Springer, New York, NY. pp. 367–438. doi:10.1007/978-90-481-3999-6_12. ISBN 978-90-481-3998-9.
235. Hadley EC, Lakatta EG, Morrison-Bogorad M, Warner HR, Hodes RJ. The future of aging therapies. Cell. 2005 Feb 25;120(4):557-67. Review. PubMed PMID: 15734687.
235. Tchkonia T, Zhu Y, van Deursen J, Campisi J, Kirkland JL. Cellular senescence and the senescent secretory phenotype: therapeutic opportunities. J Clin Invest. 2013 Mar 1;123(3):966-72. doi: 10.1172/JCI64098. Epub 2013 Mar 1. Review. PubMed PMID: 23454759; PubMed Central PMCID: PMC3582125.
236. Pinney DO, Stephens DF, Pope LS. Lifetime effects of winter supplemental feed level and age at first parturition on range beef cows. J Anim Sci. 1972 Jun;34(6):1067-74. PubMed PMID: 5027302.
237. Barzilai N, Bartke A. Biological approaches to mechanistically understand the healthy life span extension achieved by calorie restriction and modulation of hormones. J Gerontol A Biol Sci Med Sci. 2009 Feb;64(2):187-91. doi: 10.1093/gerona/gln061. Epub 2009 Feb 19. Review. PubMed PMID: 19228789; PubMed Central PMCID: PMC2655014.
238. Personal communication, Andrzej Bartke, 2009/03/20
239. Carrillo AE, Flouris AD. Caloric restriction and longevity: effects of reduced body temperature. Ageing Res Rev. 2011 Jan;10(1):153-62. doi: 10.1016/j.arr.2010.10.001. Epub 2010 Oct 20. Review. PubMed PMID: 20969980.
240. Trujillo-Ferrara J, Campos-Rodríguez R, Lara-Padilla E, Ramírez-Rosales D, Correa Basurto J, Miliar Garcia A, Reyna Garfias H, Zamorano Ulloa R, Rosales-Hernández MC. Caloric restriction increases free radicals and inducible nitric oxide synthase expression in mice infected with Salmonella Typhimurium. Biosci Rep. 2011 Aug;31(4):273-82. doi: 10.1042/BSR20100021. PubMed PMID: 20883207.
241. Clinthorne JF, Adams DJ, Fenton JI, Ritz BW, Gardner EM. Short-term re-feeding of previously energy-restricted C57BL/6 male mice restores body weight and body fat and attenuates the decline in natural killer cell function after primary influenza infection. J Nutr. 2010 Aug;140(8):1495-501. doi: 10.3945/jn.110.122408. Epub 2010 Jun 9. PubMed PMID: 20534876; PubMed Central PMCID: PMC2903303.
242. Kristan DM. Calorie restriction and susceptibility to intact pathogens. Age (Dordr). 2008 Sep;30(2-3):147-56. doi: 10.1007/s11357-008-9056-1. Epub 2008 May 27. PubMed PMID: 19424864; PubMed Central PMCID: PMC2527633.
243. Peck MD, Babcock GF, Alexander JW. The role of protein and calorie restriction in outcome from Salmonella infection in mice. JPEN J Parenter Enteral Nutr. 1992 Nov-Dec;16(6):561-5. PubMed PMID: 1494214.
244. Hunger in the absence of caloric restriction improves cognition and attenuates Alzheimer’s disease pathology in a mouse model. Dhurandhar EJ, Allison DB, van Groen T, Kadish I. PLoS One. 2013;8(4):e60437. doi: 10.1371/journal.pone.0060437. Epub 2013 Apr 2. PMID: 23565247 [PubMed – in process]
245. Lutter M, Sakata I, Osborne-Lawrence S, Rovinsky SA, Anderson JG, Jung S, Birnbaum S, Yanagisawa M, Elmquist JK, Nestler EJ, Zigman JM. The orexigenic hormone ghrelin defends against depressive symptoms of chronic stress. Nat Neurosci. 2008 Jul;11(7):752-3. Epub 2008 Jun 15. PMID: 18552842 [PubMed – in process]
246. Miller RA. Extending life: scientific prospects and political obstacles. Milbank Q. 2002;80(1):155-74. PubMed PMID: 11933792; PubMed Central PMCID: PMC2690099.
247. Phoenix C, de Grey AD. A model of aging as accumulated damage matches observed mortality patterns and predicts the life-extending effects of prospective interventions. Age (Dordr). 2007 Dec;29(4):133-89. doi: 10.1007/s11357-007-9038-8. Epub 2007 Sep 18. PubMed PMID: 19424837; PubMed Central PMCID: PMC2267031.
248. Harrison DE, Strong R, Sharp ZD, Nelson JF, Astle CM, Flurkey K, Nadon NL, Wilkinson JE, Frenkel K, Carter CS, Pahor M, Javors MA, Fernandez E, Miller RA. Rapamycin fed late in life extends lifespan in genetically heterogeneous mice. Nature. 2009 Jul 16;460(7253):392-5. Epub 2009 Jul 8. PubMed PMID: 19587680; PubMed Central PMCID: PMC2786175.
249. Le Bourg E. Dietary restriction would probably not increase longevity in human beings and other species able to leave unsuitable environments. Biogerontology. 2006 Jun;7(3):149-52. PubMed PMID: 16628488
250. de Grey AD, Ames BN, Andersen JK, Bartke A, Campisi J, Heward CB, McCarter RJM, Stock G. Time to talk SENS: critiquing the immutability of human aging. Ann N Y Acad Sci 2002;959:452-462.
251. de Grey AD. An engineer’s approach to the development of real anti-aging medicine. Sci Aging Knowledge Environ. 2003 Jan 8;2003(1):VP1.









