Legs of Iron, Feet of Clay
Short summary: Aging muscles lose strength above and beyond what would be expected from the mere loss of muscle mass. Accordingly, many drugs have been shown to stimulate muscle growth in older people, but the increased muscle mass consistently fails to translate into increased strength and physical function. To let people live independent lives for longer, we need damage-repair longevity therapeutics to repair the cellular and molecular damage that makes aging muscle dysfunctional.
Suppose you were to take a group of people who were on the back end of current lifespans and give them an experimental drug to boost their muscle mass. Like most older people, they have lost a significant amount of the muscle they carried in midlife, and their weakening muscles are increasingly causing them problems: they have a hard time opening jars, or getting up the stairs, or carrying groceries. If things continue on their current trajectory, these people will soon lose their ability to carry out the most basic tasks of daily living and lose their independence. By giving them our experimental muscle-building drug, we’re hoping to restore their function, keeping them out of the nursing home and playing with their grandchildren.
Excitingly, the drug seems to work. Over the course of a few months, the volunteers in our trial who receive our drug put on muscle mass, while people receiving the placebo continue to lose muscle. Mission accomplished, right?
Yet when the researchers test the volunteers on standardized tests of muscle strength and function, the newly-muscular elders are no stronger than when the trial started, and no better off than the people who were taking sugar pills.
What’s the drug? Actually, it’s a lot of drugs. People have been trying to develop therapies to help aging people regain muscle mass and strength for decades now, and while a number of them have bulked up subjects’ biceps, they have consistently failed to deliver on the functional outcomes that matter most.
The specific drug that prompted this blog post is an antibody therapy called bimagrumab, originally developed by European pharma giant Novartis. Bimagrumab is an antibody that keeps any of several different signaling molecules from turning on activin type II receptors (ActRIIs) on the outer membrane of muscle cells. The two best-known signaling molecules that act through ActRII are myostatin and GDF11. The latter is the controversial serum factor that made a splash a decade ago when one group of scientists claimed it had regenerative effects in aging mice. But surprisingly, when other scientists tried to replicate their findings, they almost uniformly found that GDF11 — like myostatin — inhibits muscle regeneration and even causes muscle and tissue atrophy instead.
It’s well-established that when they bind to ActRII, myostatin and other signaling molecules prevent muscle precursor cells from developing into mature muscle cells and cause existing muscle fibers to atrophy. Conversely, follistatin blocks this interaction, thereby increasing muscle mass. So by preventing myostatin and other ActRII signaling molecules from binding to ActRIIs, bimagrumab blinds ActRII to their anti-growth signal, and muscles are able to grow again.
After initial animal studies, bimagrumab seemed to do well in its first real clinical trial. Twenty-four young men spent two weeks with one of their legs immobilized in a cast. After all that inactivity, nearly 5% of the muscle volume in the men’s immobilized thighs had wasted away, replaced by infiltrations of fat cells like marbling in a steak. And as you would expect, they had lost about a quarter of the strength in that leg.
The researchers then removed the men’s casts and gave them a single dose of either bimagrumab or a placebo. It took three months of exercise for the men who had been given placebo infusions to build the thigh muscles in their cast-immobilized leg back to normal. But in that time, the bimagrumab-treated volunteers not only regained all their lost thigh muscle, but put on an additional 5% muscle volume above and beyond what they had started the trial with! And on top of that, their “control” legs — the legs that had neither been put in a cast nor been exercised afterward — gained a similar amount of new muscle volume. By contrast, the control legs in the placebo-treated group ended the trial where they began.
But surprisingly, the extra muscle in the bimagrumab-treated men’s legs did not translate into strength gains. Despite putting on twice as much muscle volume in their casted legs (measured on MRI), the bimagrumab-treated men’s leg strength in the casted limb was the same as that of the untreated men!

This disconnect between muscle mass/MRI volume and muscle strength would prove to be a theme in bimagrumab research. The US FDA initially awarded Novartis a breakthrough therapy designation to develop bimagrumab for sporadic inclusion body myositis (sIBM). sIBM is a perplexing age-related disease of muscle loss that involves inflammation and intracellular aggregates of our old enemy beta-amyloid. This was a promising place to start, since a key protein that is activated downstream of ActRII is more active in sIBM than in other muscle-wasting diseases.
But no dice. Even though bimagrumab increased the participants’ lean body mass (and, in a previous sIBM trial, MRI-measured muscle volume), it had no effect on their walking speed, any of several measures of muscle strength, their risk of falls, or their ability to swallow. (Swallowing becomes dangerously impaired in sIBM patients due to the degeneration of the muscles in their esophagus, making it hard to eat properly and raising the risk of choking and pneumonia).
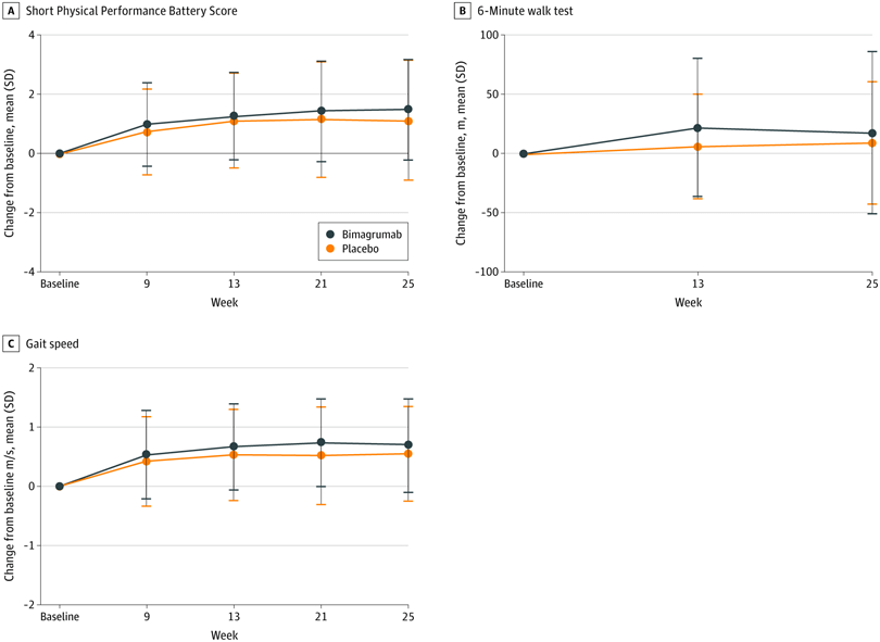
Novartis then switched tack: instead of developing bimagrumab for a rare disease (sIBM), they aimed the drug at a muscle disease that is universal (even if most people don’t technically meet the clinical threshold): sarcopenia, which is the age-related loss of muscle mass and strength. After a promising-looking initial trial (though there were question marks even then), the company conducted a late-stage followup trial of bimagrumab in men and women over the age of 70 who met the clinical criteria for sarcopenia. The investigators set the participants up for success: all subjects received dietary counseling every two weeks, protein and vitamin D supplements, and a home-based exercise routine. But half of the volunteers additionally got bimagrumab infusions, and the other subjects got placebo.
At the end of the trial, bimagrumab boosted the volunteers’ leg and arm muscle mass by 7%, versus 1% for subjects given the same lifestyle regimen with a placebo. But the trial was still a flop, because bimagrumab failed to significantly improve on placebo in any of several measures of muscle function and mobility.

They then tried to use bimagrumab to help older people recover after a hip fracture. Low thigh muscle increases the risk of a hip fracture by 40% in aging people, and older people lose terrible amounts of muscle in the five days or so of recovery after a hip fracture. Between the damage to the bones and the muscle loss, about half of older people who suffer a hip fracture suffer loss of mobility and ability to carry out basic functions of independent living, with the result that 10-20% of them wind up in a nursing home. And a woman over 50 who suffers a hip fracture increases her risk of dying within the next three months by nearly sixfold, and a man by eightfold.
So you’d think that a drug that increases muscle mass would save many hip fracture sufferers’ lives and independence. In a large clinical trial carried out at 50 clinical centers across 18 countries, men and women who had suffered a hip fracture were randomly assigned to receive one of three doses of bimagrumab or placebo for six months, along with twice-weekly physiotherapy, vitamin D for those with low levels, and protein dietary counseling. The result: the medium and especially the high dose of bimagrumab increased people’s lean body mass (by over 6 pounds in the high-dose group), but (wait for it!) their walking speed, their self-reported ability to return to the level of mobility they had before the fracture, their risk of falling, and a measure of their physical function were no better than those of people who had been given placebo shots.
The bimagrumab story isn’t over. A small biotech company recently bought the rights to the drug from Novartis and is now moving it through clinical trials as a next-generation weight loss and metabolic health drug. In early-stage trials, bimagrumab reduced body fat in people with Type II diabetes and obesity and helped them control their blood sugar better, similar to the GLP-1 receptor agonists (GLP-1-RAs — Ozempic® and the like) that have taken the world by storm. But bimagrumab simultaneously increases muscle mass in these volunteers, whereas (to widespread overreaction[1]) people on GLP-1-RAs typically lose lean mass to a degree commensurate with weight loss via diet or bariatric surgery.
Based on the results of previous trials with both bimagrumab and GLP-1-RAs, bimagrumab is likely to improve obese people’s physical function by taking the weight off their joints and feet and allowing them to physically negotiate space more efficiently. But from what we’ve seen in people taking bimagrumab for muscle-wasting diseases, sarcopenia, and recovery after a hip fracture, any muscle gains people make will have no additional benefit for their physical capacity.
This is Bigger than Bimagrumab
You might guess that bimagrumab was some bizarre outlier: surely other drugs that allow older people to pack on new muscle would also increase their strength and function. But surprisingly, there’s a very long record of drugs that increase muscle mass but don’t deliver on strength or function.
For example, many biotech companies expected that myostatin inhibitors such as follistatin would be a solution for muscle-wasting diseases and sarcopenia. Myostatin signals through one of the activin receptors blocked by bimagrumab, putting the brakes on muscle growth. Indeed, there are pictures all over the scientific literature and the internet of animals and even human children with eye-popping, cartoonish levels of musculature thanks to inherited mutations that interfere with the myostatin pathway. Accordingly, entrepreneurs of weak scientific acumen and/or ethical character quickly began hawking injectable peptides and dietary supplements purported to inhibit myostatin to bodybuilders and desperate parents of children with genetic diseases.
But serious scientists and advocates also chased after myostatin inhibition, anticipating that inhibiting myostatin would take the brakes off of these muscle-wasting patients’ muscles, enabling muscle growth and strength gains.

But myostatin inhibitors have not panned out as therapies. As a 2020 review paper on myostatin inhibitors summarizes:
There have been six [randomized, double-blind, placebo-controlled] trials of myostatin inhibitors in muscular dystrophy to date. These trials studied different myostatin blocking strategies, different disease populations (three in pediatric [Duchenne muscular dystrophy], 2 in adult [muscular dystrophy]), different routes of administration, different trial durations, and different outcome measures. … Except for one trial (with ACE-083), there was negligible increases in muscle mass, a hallmark of myostatin inhibition. None of the trials demonstrated functional efficacy. …
The safety and efficacy of a nonselective myostatin inhibitor, ACE-083, was studied in a phase II trial in [facioscapulohumeral muscular dystrophy (FSHD)] by Acceleron Pharma (NCT02927080). ACE-083 is a modified follistatin-Fc fusion protein that binds myostatin, GDF11, BMP6, BMP7, activin A, and activin B. … Acceleron released a press statement that indicated that the trial met its primary objective of increased muscle mass but did not meet any of its secondary outcome measures of muscle function. It therefore decided to terminate ACE-083 for FSHD.
And the relationship between myostatin and muscle strength and function in people with muscle loss driven by aging is exactly the opposite of what you’d expect: in males, at least, myostatin levels decline with age rather than increasing, and (to quote the title of a paper) “Serum myostatin levels are higher in fitter, more active, and non-frail long-term nursing home residents and increase after a physical exercise intervention.”
Selective androgen receptor modulators (SARMs) are another class of drugs that increase muscle mass but don’t seem to deliver on muscle function. SARMs partially mimic the effects of testosterone, binding to and activating the same receptors on cells that testosterone and its derivatives do. But SARMs bind to the receptors on different tissues in a different pattern than does testosterone or related hormones: to varying degrees, they bind to tissues you want to stimulate (such as muscle and bone) but not to tissues you’d rather not mess with (such as your prostate, your skin, your voicebox, or the hair follicles in your scalp).
Scientists and drug companies have therefore looked to SARMs as potential therapies for helping men hold onto muscle and bone after they’ve had their testosterone production turned off as part of prostate cancer treatment, as well as a potentially safer alternative to testosterone for men with “low T,” osteoporosis, cancer- and HIV-related muscle loss, Duchenne muscular dystrophy, and (yes) sarcopenia. In parallel, an enormous black market for SARMs (much of it counterfeit and/or contaminated) has sprung up, which touts them as a way to get muscle gains without the side-effects of T or anabolic steroids and to evade testing for doping in athletic competition.
But like bimagrumab, SARMs haven’t lived up to their theoretical promise. Enobosarm, also known as Ostarine, is now one of the most common SARMs on the black market. In preliminary Phase II trials, it increased lean body mass and stair-climbing power in people with wasting resulting from a variety of cancers. But it failed to increase grip strength or to improve measures of frailty or the volunteers’ ECOG score, which is a composite assessment of a person’s overall well-being and ability to carry out ordinary activities of daily life. And in two larger and still-unpublished Phase III trials, Ostarine significantly increased lean body mass in one trial and not in the other, and it failed to increase stair climbing power in either of them. The same was true for OPK-88004 (which also didn’t improve sexual desire and activity, erectile function, mood, or fatigue) and several other SARMs, which is why few people outside of niche bodybuilding circles have heard of these drugs.
Growth hormone therapies have also been a bifurcated functional flop. Directly injecting human growth hormone (hGH) improves body composition but not grip or knee strength in older men with low IGF-1 (the hormone that does the anabolic work in response to the hGH signal). The hormone ghrelin stimulates hGH release along with its more famous abiity to increase hunger, so scientists at the National Institutes of Health (NIH) tried administering it instead of hGH itself. When they gave it to men and women ages 60-80, it increased lean mass and very slightly increased bone mineral density. But it also seemed to increase fat mass, and people’s glucose metabolism deteriorated — both effects possibly related to the increased appetite caused by the treatment. And despite their increased muscle mass, people treated with ghrelin did not gain more strength or improve on measures of function or quality of life.
One peptide that increases a person’s own hGH secretion may have given people a small amount of added function, but the results were disappointing, and a planned one-year extension of the trial was scuttled. (It is currently used to counteract weight loss in cats with kidney disease).
Testosterone replacement therapy in older men with “low T” increases muscle mass in the short term, but has only marginal effects on strength, and leads to little to no improvement in physical performance in clinical trials. And when clinical trials run longer, it turns out that T provides only a step up on a downward-flowing escalator of muscle loss. In the TEAAM trial, men’s muscle mass and strength increased over the first year of treatment, but then they fell at an even faster rate than the age-related declines in the placebo-treated men, with the result that they were little or no better off on most measures at the end of the three-year trial.

Similarly, menopause typically leads to muscle atrophy and declines in strength and physical functioning in women, but estrogen replacement therapy does not consistently lead to strength gains.
And while the results are not consistent, there are a number of studies that find that supplementing with extra protein during resistance training enables greater gains in muscle mass, but makes no difference for strength: this has been seen in physically active older adults, independently-living older people doing resistance exercise, people with sarcopenia, and frail elderly adults.
So what could be responsible for this persistent, paradoxical finding that adding muscle mass to older people fails to improve their strength and function?
All Bulked Up and Nowhere to Go
Some of this counterintuitive pattern might relate to things we see even in young, healthy people’s muscles. For instance, while it’s broadly speaking true that people who do resistance training gain both muscle mass and strength, the two don’t perfectly overlap.
One example of this: in the first few weeks of lifting weights, people tend to gain strength without putting on muscle mass, even though biopsies show that their muscles are dramatically remodeling themselves. Some of these early strength gains are thought to be because the body adapts at the neurological level before it invests in adding more muscle tissue (or before it can complete the process of building it). By re-connecting the nerves that control muscle fibers to the ones that are needed to lift the weight, learning how to recruit the right muscular-nervous units in the right order to maximize force production, and learning to deactivate the opposing muscles to minimize resistance (e.g., turning off the triceps when doing a biceps curl), the body can more efficiently produce force out of the same muscle mass.
Granted that phenomenon, you can see how giving people drugs that simply force the body to add on muscle mass might fail to translate into strength gains, either because the body hasn’t learned at the neurological level how to use the new muscle tissue, or because of imbalances between opposing muscle groups when the drug is telling all muscle groups to grow. Still, these training-related findings can only be a small part of the disconnect we’re seeing with drugs, because in several of the drug trials, both the controls and the people treated with the muscle-building drug were exercising while receiving treatment, so the neurological adaptations should have been able to adapt along with the extra muscle.
Another insight from the resistance training world comes from the contrast between the training regimens of bodybuilders (whose priority is putting on lots of visible muscle mass) and powerlifters (whose priority is to lift the heaviest weights). Doing fewer reps with heavier loads builds more strength than the same amount of work done by performing more reps using lighter loads, but it yields no more muscle mass. Conversely, progressively increasing reps rather than load appears to lead to slightly greater muscle gain. And training closer to momentary muscular failure leads to more muscle growth but no more muscle strength.
The differences in strength and muscle mass are paralleled by differences in muscle biopsies taken from athletes of the two types: gram-for-gram, bodybuilders’ muscles are weaker — not only compared with powerlifters, but also compared with untrained people the same age. Under the microscope, the muscles of bodybuilders contain fewer myofibrils (the organelles that perform the ratchet-like work of contracting a muscle) than those of untrained people with similar-sized muscles, with the extra volume occupied by glycogen, creatine, and “sarcoplasmic” proteins — that is, proteins other than the ones involved in muscle contraction.
Power Failure
And the ultimate example of such disconnects is aging itself. First, aging people lose muscle strength much more quickly than they lose muscle mass — and they lose muscle power (the ability to move a given amount of weight quickly) even faster.

The fact that muscle function declines so much faster than sheer mass with age is one reason why the European Working Group on Sarcopenia in Older People defines sarcopenia as “a muscle disease (muscle failure) rooted in adverse muscle changes that accrue across a lifetime” and “focuses on low muscle strength as a key characteristic of sarcopenia, uses detection of low muscle quantity and quality to confirm the sarcopenia diagnosis, and identifies poor physical performance as indicative of severe sarcopenia” — all emphasis mine. The other reason to emphasize strength as part of the definition of sarcopenia is that it’s the loss of strength and power that disables people with age, causes them to lose their independence, and makes them vulnerable to accidents. The term dynapenia was coined to focus research and patient care on these key functional losses instead of just looking at the more readily-apparent loss of muscle tissue. Similarly, low muscle strength is a much more powerful predictor of death from all causes combined than is low muscle mass.

Because sarcopenia has been a graveyard for drug development, the best available therapy to guard against and partly reverse sarcopenia remains resistance training. It’s effective, even in people at the limits of current lifespans, and an important fraction of sarcopenia is the result of “mere” lack of exercise: 70% of Americans don’t meet the resistance training guidelines, and 60% do no muscle-strengthening activities at all. Those numbers rise to 77% and 70% in people over 65.
But we should understand the limits of exercise as an intervention. While people who do resistance training at any given age are stronger and have better physical function than people who don’t, resistance training doesn’t slow the rate at which people lose strength with age. In fact, in some studies, physical performance declines even faster in people who exercise throughout their lives than in people who don’t. These “Master athletes” maintain higher performance than do same-aged sedentary people, but it’s not because their muscles are aging any slower. Instead, it’s because increasing one’s muscle mass and strength via strength training gives one more functional reserve in the face of ongoing age-related decline. By analogy, a hang glider who sets off from a taller cliff will stay aloft longer because they’ve put some distance between themselves and terra firma, but gravity will pull them down at the same rate as everyone else.


What this tells you, at the highest level, is that sarcopenia is not just a consequence of lifelong inactivity or poor nutrition, but a disease of aging: a consequence of the progressive accumulation of damage to the cellular and molecular functional units that make our muscles work, with the damage being inflicted by the normal metabolic activity of the muscle itself. The corollary of that conclusion is that to maintain and restore aging muscle function, we must repair this underlying damage.
While the full extent of the aging damage responsible for sarcopenia is not known, here are a few examples of aging damage that we need to repair to keep our muscles young, healthy, and functional.
What Needs Fixing to Keep Lifting
Satellite Cells (RepleniSENS)
The most obvious coconspirators in age-related loss of muscle mass and function are satellite cells, the specialized muscle stem cells that repair and strengthen stressed fibers. The loss and dysfunction of satellite cells with age certainly impairs the regenerative response when muscles suffer traumatic injury (although the regenerative response can be stunted or incomplete even in young animals, depending on how the muscle is injured).
Satellite cell loss and dysfunction are also widely believed to play a role in flagging responses by aging muscle after resistance training. However, aging people can improve their satellite cells’ response to exercise if they maintain a long-term commitment to training, and the existence of such “anabolic resistance” with age has come under question.
But while the role of aging satellite cells in age-related defects in the muscle’s response to injury and exercise is complex and somewhat unclear, its role in the gradual degeneration of muscle fibers due to aging processes in sarcopenia is surprisingly controversial. On the one hand, satellite cells continue to fortify muscle fibers throughout life in all adult muscles in mice, and their number and contribution to muscle fibers declines with age. That sounds like a good prima facie case that their flagging numbers and reinforcement activity would contribute to sarcopenia. Yet eliminating most of the satellite cells in the muscles does not accelerate age-related muscle loss in mice.
Moreover, it’s clear that much of the sluggish response of satellite cells in aging muscle is due to factors outside of the satellite cells themselves. One important set of such outside influences are signaling factors in an old organism’s blood that (at least) suppress the regenerative response after acute injury, as shown by plasma dilution and parabiosis experiments by Mike and Irina Conboy and others. (Importantly, the benefits of “young blood” for muscle injury repair in parabiosis are almost entirely replicated by simply diluting old animals’ plasma with saline and neutral protein (albumin). This is powerful evidence that either there are no “pro-youth” regenerative factors in young plasma, or that such factors make only minuscule contributions to the effect). Another category of outside influences on satellite cells in aging is damage to the structures that nurture the satellite cells, as we’ll discuss in the next section of this post.
However exactly the loss of satellite cells with age interfaces with our ability to maintain existing muscle fibers and replace muscle fibers lost to cellular and molecular damage with age, the fact that we lose them is sufficient to justify RepleniSENS technology to reinforce their numbers. And whatever exact combination of age-changes is responsible for the fact that about a quarter of the fibers in the main muscle of a man’s thigh are gone by the time he is in his 70s, we will also need cell therapy and tissue engineering to replace those that we lose despite our best efforts to remove, repair, and replace the damage driving those losses.
Too Stiff and Not Stiff Enough (GlycoSENS)
The most obvious and well-understood forms of damage to long-lived structural proteins (GlycoSENS) are alterations that stiffen the afflicted structures. This happens in the muscle tissue: the extracellular matrix (ECM) in aging muscle tissue accumulates abnormally high amounts of collagen, and that collagen gets locked up by AGE crosslinks, both of which cause the muscle to stiffen. Run through with a stiffer ECM, the aging muscle is less able to generate eccentric force, even as other aging damage directly impairs the force-generating capacity of the muscle fibers themselves.
And yet, paradoxically, many studies find that the tendons of aging muscles lose stiffness with age, which also impairs muscle function! The tendons are bands of connective tissue that connect muscles to bones: when we need to move our limbs and the rest of our bodies, it’s the tendons that transmit the force produced by our muscles to the attached bone and cause the joint to move. Just as it would be harder to pull a weight behind you if it were connected with an elastic band than with a length of string, it’s harder for muscles to pull on bone if the tendon that attaches the two has a lot of slack.

Some researchers interpret this as a (mal)adaptive response to slower motion and lower muscle loading in older people, allowing for more efficient motion under low demand, but this is a bit of a chicken-and-egg problem: is the muscle less able to produce force because the tendon is slacker, or is the tendon less stiff as an accommodation for lower muscle demands (which, separately, lead to weaker muscles)? (Note that these two hypotheses are not mutually exclusive: both processes could be at work, feeding back on one another in a race to the bottom of muscular strength). Exercise seems to stiffen up aging-slackened tendons, in part by causing them to shed glycation products — something consistent with Jonathan Clark’s SRF-sponsored research, which finds that mechanical stretching of aged tendons can even break AGE crosslinks. But the core of the tendon seems not to get any of this benefit, pointing to the potential need for rejuvenation biotechnologies.
These age-changes in connective tissue have fairly intuitive mechanical effects on the muscle’s ability to generate and transmit force. Things get much more surprising when you drill down into the effects of aging on the ECM in the cellular nurseries (niches) of satellite cells. Age-related stiffening of the ECM in which muscle stem cells are embedded impairs their ability to reproduce themselves and mature into muscle fibers. When scientists seed human muscle stem cells into ECM derived from the niches of old mice’s muscles, they become less likely to develop into muscle fibers than when they seed them into young niche ECM. Instead, muscle stem cells in old niche ECM tend to become cells that lay down collagen, possibly contributing to fibrosis in the aging muscle.
When transplanted into a young niche, old muscle stem cells flip their gene expression to become more like that of young stem cells. You might think that this is the result of some kind of epigenetic effect, but the researchers looked, and epigenetic changes play very little role in the rejuvenating effect. Instead, the switch is primarily driven by changing which available genes are “read” to make working copies.
On top of that, age-related loss of a specialized ECM protein called fibronectin causes muscle stem cells to wander away from the niche. With fewer muscle stem cells at the ready, injuries to the aging muscle are not fully repaired; conversely, restoring fibronectin levels in aged mouse muscle substantially rejuvenates the aged muscle’s repair capacity.
So part of why studies on the contribution of satellite cell loss and dysfunction with age to sarcopenia have come to contradictory results may be that they’ve been looking in the wrong place. Much of the problem may not be with defects in the aging satellite cells themselves, but in the niches that stiffen up and fail to nurture and support them. Repairing damage to the ECM niche could allow a person’s own satellite cells to wake up and function again, and maximize the benefit of newly-transplanted satellite cells.
Destroying the Thieves of Strength (ApoptoSEN
(This section briefly summarizes a dedicated post I did a few months ago on the question of senescent cells and senolytics in aging muscle). It’s clear that a variety of cell types in aging muscle tissue turn senescent with age, including satellite cells and fibro-adipogenic progenitor cells (FAPs). FAPs are a poorly-understood cell type that seems to contribute to muscle regeneration after injury when the tissue was healthy prior to the insult, but which also appears to drive fibrosis and fatty infiltration when the animal is aged or metabolically unhealthy to begin with.
What’s not clear is whether muscle fibers themselves (or muscle fiber segments or domains) go senescent. The size and structure of muscle fibers and their multi-nucleus structure make it a difficult question to answer. One prominent study seemed to show that human muscle fibers do indeed turn senescent with age, with the troubling implication that destroying one senescent nuclear domain within an otherwise-healthy fiber could cause the fiber to break.
This scenario raised the troubling specter that taking senolytic drugs could wreak destruction on our aging muscles, with ruinous consequences for our strength and independence. Fortunately, my detailed review of senolytics’ effect on aging muscle found that while there is some evidence that giving senolytic drugs to young animals may have harmful effects on muscle, they are uniformly beneficial to muscle when given to older ones. Senolytics are therefore another damage-repair strategy to preserve and rejuvenate aging muscle structure and function.
Cellular Energy Plants for Muscle Power (MitoSENS)
Most cells in the body are organized around a single nucleus — a protected organelle that houses the genetic code and acts as the cell’s command-and-control center. But nearly all cells in the human body can be measured in micrometers across (thousandths of a meter), whereas human skeletal muscle fibers can be nearly two feet long. If a single nucleus had to send chemical signals and microscopic biological machines running up and down the length of a cell that long to trigger changes in activity, it would be impossible to coordinate quick movements. So muscle fibers are instead organized with multiple specialized “nucleuses” (myonuclei) staged all along their length, each served by a local population of energy-generating mitochondria.
This structure makes muscle fibers uniquely vulnerable to mitochondrial deletion mutations — the kind of mutation in the mitochondria’s genomes that most consistently accumulates with age and is most closely linked to age-related pathology. A striking thing about mitochondrial deletion mutations is how all-or-nothing they are. When you look at cells that have to last us a lifetime (such as brain neurons or heart muscle cells), you never see a few renegade mitochondria bearing deletion mutations amidst a larger population of normal mitochondria. Instead, you see the vast majority of cells in a tissue utterly free of deletion mutations, and a small fraction of them completely overtaken with age by mitochondria harboring the deletion in their genomes.
This pattern plays out a little differently in muscle fibers because of their unusual structure. Instead of having one population of mitochondria for the whole cell, individual segments within the fiber have their own local mitochondrial populations to fuel the contraction of nearby contractile units. Because of the relative independence of the mitochondria in one fiber segment from those in another, deletion-bearing mitochondria don’t blitz their way across entire muscle fibers, but instead enact hostile takeovers of their local segments within the fiber, even as other segments in the same fiber retain their healthy mitochondrial populations .
But because effective muscle contraction requires the coordinated activity of many segments within the muscle fiber, a segment overtaken by deletion-bearing mitochondria immediately poses a “weakest link in the chain” problem. Segments fully overtaken by deletion-bearing mitochondria lose the ability to produce energy in the most efficient pathway and compensate with signs of abnormal metabolism. More importantly, such mitochondrial deletion-bearing segments coincide with areas where the aging muscle fibers split apart, wither away, or break, leading the fiber to snap like a worn-down string. This causes outright loss of the muscle fiber, and is likely a key reason why about a quarter of the fibers in the main muscle of the thigh are gone by the time men reach their 70s. Accordingly, the overall muscle burden of mitochondrial DNA deletions explains about one-eighth of the decline in cardiorespiratory fitness with age from age 50 to 85, and the number of copies of the mitochondrial genome explains about 10% of the age-related decline in lean mass.
Thus, our three MitoSENS programs — creating “backup copies” of the mitochondrial genome (allotopic expression) as well as our two new MitoSENS strategies — would not only preserve our muscles’ ability to create the cellular energy to power our motion, but should also prevent muscle fiber breakage at mitochondrial DNA deletion hotspots, preserving muscle fibers otherwise destined for destruction.

Intracellular Aggregates (LysoSENS)
Anyone interested in aging biology or sports science knows a bit about mTOR, which is a central node in the cell that (amongst other things) regulates when the cell synthesizes new protein with times when it turns protein synthesis off and works on breaking down and recycling old ones. Starting with the 2009 breakthrough by the National Institutes on Aging’s Interventions Testing program, longevity scientists from many different labs located all over the world have repeatedly shown that inhibiting mTOR with the drug rapamycin or via genetic mutations increases lifespan and postpones — or in some cases reverses — age-related functional declines. The best-understood way that it does this is by reducing the accumulation of damaged proteins in the cell; it accomplishes this by both reducing the amount of protein synthesized and by ramping up the delivery of mildly damaged proteins to the lysosome (autophagy) for destruction before they become twisted-up into forms that that the cell doesn’t have the enzymes or other machinery to degrade (i.e., prior to it becoming true LysoSENS damage).
On the other hand, a huge amount of sports science for the last several decades has been dedicated to testing how well different exercise protocols, nutrients, and drugs activate mTOR, looking for ever more effective ways to increase muscle protein synthesis and reduce protein breakdown. Ironically, this has been a particular focus in aging people, looking to mTOR activation as a way to hold off sarcopenia. Yet as you would expect, a single high dose of rapamycin completely blocks the effect of essential amino acids and resistance exercise on muscle protein synthesis for at least the next two hours in humans (when mTOR signaling and muscle protein synthesis are typically at their peak), and for the next two weeks in rodents (in whom we have longer-term data).
So it’s surprising to learn that multiple independent groups of scientists have reported that turning down mTOR signaling slows — and in one case even reverses — the course of sarcopenia in experimental animals. This happens whether scientists partially turn mTOR off at the gene level or dose animals with everolimus (a modified version of rapamycin). In one study, scientists gave 22-month-old mice either a lower or a higher dose of everolimus or a “placebo” daily for six weeks. (This is roughly equivalent to treating 65-year-old humans with everolimus for four years). Lower-dose everolimus delivered substantial protection against age-related muscle loss in these mice: they developed fewer of the small, misshapen myofibers that increasingly populate aging muscle, and they suffered less loss of nerve cell connections to the muscle that plays a key role in sarcopenia.
Inhibiting mTOR likely does several things to combat muscle aging, but the one that is connected with mTOR’s best-understood function is reducing the accumulation of damaged proteins in the muscle. In the everolimus study we just reviewed, autophagy was elevated in the muscles of animals given low-dose everolimus — but it was only elevated in muscles that everolimus most consistently protected. This suggests that a key way that mTOR inhibition protects animals against sarcopenia is by clearing out the early precursors of truly intractable damaged proteins via the complete autophagy process.
In one test of this idea, scientists engineered mice so that mTOR would be continuously activated in their muscles. This is analogous to what happens in aging muscles, in which (contrary to widespread misunderstanding) mTOR is chronically activated, and the sites of this unchecked mTOR activity corresponds with sites of muscle fiber damage. The hyperactive-mTOR mutant mice suffered massive premature loss of muscle mass and strength despite — or rather, because of — nonstop protein synthesis in their muscles. The researchers thought they could see why: the unbalanced protein synthesis created large amounts of defective proteins in the mutant mice’s muscles and clogged up the autophagy system in a way that was similar to “normally”-aging mice.
The researchers then engineered two additional lines of mice that — in addition to the always-on muscle mTOR — lacked the genes for one or the other of the two main targets through which mTORC1 activates protein synthesis. Thus, the researchers kept mTOR itself activated, but turned off one or the other pathways that mTORC1 normally turns on. One of these two combinations boosted the activity of key protein-breakdown enzymes in the mice’s muscle lysosomes and prevented the accumulation of protein aggregates in their muscles. With this mTOR signaling pathway blocked, the mice were completely protected against mTORC-driven loss of muscle mass and strength. All of this is consistent with the idea that protein aggregate accumulation drives much of the loss of muscle mass and strength with age.
In another model, scientists eliminated the gene for the autophagy protein Atg7 in the muscles of mice. Atg7 is one of the key genes involved in autophagy per se — that is, dragging damaged or obsolescent materials to the lysosome for destruction. So knocking it out in the mice’s muscles prevented them from disposing of waste products via the lysosome. This model somewhat reflects “real-world” muscle aging because Atg7 production declines with “normal” aging in both mice and humans, although lifelong athletes maintain more youthful levels of it.
These ATG7 knockout mice suffered severe loss of muscle mass and strength, which was largely driven by disruptions at the interface where the motor neurons tell the muscle to contract. The mitochondria in the muscle of the ATG7 knockout mice were dysfunctional, and one of the two proteins that make up the molecular ratchet that drives muscle contraction was damaged and less able to couple itself with its partner protein, making contraction less efficient.
After all this damage and muscle mass had accrued, the researchers then restored Atg7 to the mice’s muscles at 26 months of age (the mouse equivalent of age 75). Strikingly, restoring Atg7 substantially improved all of these muscle deficits, pointing to the potential of clearing intracellular aggregates to restore muscle function.
Researchers didn’t identify the protein aggregates responsible for muscle defects in either of the studies we’ve just reviewed in mice, let alone look for parallel aggregates in the muscles of aging humans — but lipofuscin has been observed in aging mouse, bovine, and human muscle. Additionally, we already know that protein aggregates including beta-amyloid accumulate inside the muscles of people with the age-related muscle disease sIBM. Novel enzymes or other strategies to degrade intracellular aggregates in mature forms that our lysosomes are not naturally equipped to break down are likely one element of the damage-repair strategy for rejuvenating aging muscle function.
As with other age-related diseases and disabilities, sarcopenia is a complex condition, driven by the collateral damage inflicted on multiple cellular and molecular structures by the processes that keep us alive. As these structural units are damaged or destroyed, we lose functional contribution to delivering muscle strength and power. To reverse this degenerative process, it isn’t enough to simply add more of the dysfunctional muscle tissue aging people have. Instead, we need to develop rejuvenation biotechnologies capable of removing and repairing the range of aging damage that robs our muscles of their strength.
*The blared warnings of podcasters and media commentators decrying the fact that people tend to lose significant amounts of lean mass when taking GLP-1-RAs are misplaced. As just noted, the amount of lean mass lost on these drugs is similar to that lost during weight loss via diet or bariatric surgery, and the outcomes for both of these interventions are positive for physical function despite the loss of muscle. This is because obese people typically begin their weight loss with large amounts of muscle that they need to carry around a heavy body, and after the weight loss they need to carry around a lot less. And there’s plenty of evidence that people can maintain most of their lean mass during weight loss from energy restriction via resistance training and increased dietary protein — interventions not included in the GLP-1-RA trials to date. Meanwhile, critics neglect the fact that the GLP-1-RAs are proving to have benefits far beyond weight loss and even diabetes, to include reducing the risk of death and other bad outcomes from cardiovascular disease and kidney disease and possibly slowing the progression of Parkinson’s and reducing the risk of Alzheimer’s disease in people with diabetes.









