A Marker of Insulin Resistance Predicts Kidney Disease
- This biomarker is used to predict many other metabolic issues.
A recent study published in GeroScience has investigated whether or not a common index of metabolic syndrome can be applied to chronic kidney disease (CKD).
A common metric of diabetes
The triglyceride-glucose (TyG) index, which is calculated from fasting triglyceride and glucose, is used as a surrogate for insulin resistance [1], a key characteristic of Type 2 diabetes. This index is closely connected to metabolic conditions, including metabolic syndrome [2] and even potentially deadly cardiovascular disease [3].
Previous work has also found that insulin resistance is related to CKD [4], and prior studies have investigated the relationship between TyG and CKD; however, most of those studies were either cross-sectional or conducted only on people with diagnosed diabetes or hypertension.
Using a long-term cohort
This study’s authors wanted to focus on average TyG over time rather than on baseline measurements of TyG. To that end, they used data from a cohort study consisting of Finnish men who were originally examined in the 1980s and re-examined 4, 11, and 20 years later. Ultimately, a total of 2,382 men were re-examined yet again in this study, determining how their TyG over time was related to CKD.
The researchers considered as many relevant factors as was feasible in their analysis, including socioeconomic status, documented diagnoses of CKD, coronary heart disease (CHD), alcohol intake, exercise, and multiple biomarkers such as lipoproteins. TyG, unsurprisingly, was found to be correlated with many of these comorbidities, including type 2 diabetes, heart disease, and hypertension.
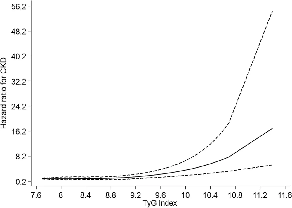
Its relationship with CKD was very strong and nonlinear. While moderate amounts of TyG were not strongly linked with CKD, the risk of CKD rose substantially with higher amounts.

These results remained strong whether or not most of the confounding variables were introduced into the analysis. Organizing the participants into tertiles, only the third with the most TyG were determined to have an elevated risk. These results became less clear when body mass index (BMI) was introduced; however, the authors hold that BMI is a mediator of TyG’s effects on CKD and, as such, should not be treated as a confounder.
What’s causing this?
While this is a population-based study that was only conducted on older Finnish men, and causality could not be proven (and there is a possibility of reverse causality), the researchers suggest that there are deeply fundamental, biological reasons behind the relationship between TyG and CKD. They hold that insulin resistance is prime among them, as it leads to problems with lipid metabolism, which is then linked to inflammatory stresses that are known risk factors for CKD [5]. Insulin resistance has also been linked to dilation of the blood vessels in the kidneys, which is also a risk factor [6].
As such, it seems clear that successfully fighting the prime causes behind diabetes is very likely to ameliorate multiple downstream disorders, of which CKD appears to be one.
Literature
[1] Guerrero-Romero, F., Simental-Mendi´a, L. E., Gonza´lez-Ortiz, M., Marti´nez-Abundis, E., Ramos-Zavala, M. G., Herna´ndez-Gonza´lez, S. O., … & Rodri´guez-Mora´n, M. (2010). The product of triglycerides and glucose, a simple measure of insulin sensitivity. Comparison with the euglycemic-hyperinsulinemic clamp. The Journal of Clinical Endocrinology & Metabolism, 95(7), 3347-3351.
[2] Son, D. H., Lee, H. S., Lee, Y. J., Lee, J. H., & Han, J. H. (2022). Comparison of triglyceride-glucose index and HOMA-IR for predicting prevalence and incidence of metabolic syndrome. Nutrition, Metabolism and Cardiovascular Diseases, 32(3), 596-604.
[3] Lopez-Jaramillo, P., Gomez-Arbelaez, D., Martinez-Bello, D., Abat, M. E. M., Alhabib, K. F., Avezum, Á., … & Yusuf, S. (2023). Association of the triglyceride glucose index as a measure of insulin resistance with mortality and cardiovascular disease in populations from five continents (PURE study): a prospective cohort study. The Lancet Healthy Longevity, 4(1), e23-e33.
[4] Kobayashi, S., Maesato, K., Moriya, H., Ohtake, T., & Ikeda, T. (2005). Insulin resistance in patients with chronic kidney disease. American Journal of Kidney Diseases, 45(2), 275-280.
[5] Rapa, S. F., Di Iorio, B. R., Campiglia, P., Heidland, A., & Marzocco, S. (2019). Inflammation and oxidative stress in chronic kidney disease—potential therapeutic role of minerals, vitamins and plant-derived metabolites. International journal of molecular sciences, 21(1), 263.
[6] Perlstein, T. S., Gerhard-Herman, M., Hollenberg, N. K., Williams, G. H., & Thomas, A. (2007). Insulin induces renal vasodilation, increases plasma renin activity, and sensitizes the renal vasculature to angiotensin receptor blockade in healthy subjects. Journal of the American Society of Nephrology, 18(3), 944-951.









